精英家教网 > 高中数学 > 题目详情
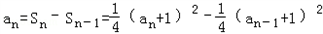
设正数数列{an}的前n项和Sn满足
(I)求数列{an}的通项公式;
(II)设,求数列{bn}的前n项和Tn
解:(Ⅰ)当n=1时,
∴a1=1.
,①
(n≥2).②
①﹣②,得
整理得,(an+an﹣1)(an﹣an﹣1﹣2)=0,
∵an>0
∴an+an﹣1>0.
∴an﹣an﹣1﹣2=0,即an﹣an﹣1=2(n≥2).
故数列{an}是首项为1,公差为2的等差数列.
∴an=2n﹣1.
(Ⅱ)∵
∴Tn=b1+b2+bn===
练习册系列答案
相关习题

科目:高中数学 来源: 题型:

设正数数列{an}的前n项之和是bn,数列{bn}前n项之积是cn,且bn+cn=1,则数列{
1an
}
中最接近108的项是第
10
10
项.

查看答案和解析>>

科目:高中数学 来源: 题型:

设正数数列{an}的前n项和为Sn,且Sn=
1
2
(an+
1
an
)
,(n∈N*).
(Ⅰ)试求a1,a2,a3
(Ⅱ)猜想an的通项公式,并用数学归纳法证明.

查看答案和解析>>

科目:高中数学 来源: 题型:

设正数数列{an}的前n项和是bn,数列{bn}的前n项之积是cn,且bn+cn=1(n∈N*),则{
1an
}
的前10项之和等于
440
440

查看答案和解析>>

科目:高中数学 来源: 题型:

(2008•嘉定区一模)设正数数列{an}的前n项和为Sn,且对任意的n∈N*,Sn是an2和an的等差中项.
(1)求数列{an}的通项公式;
(2)在集合M={m|m=2k,k∈Z,且1000≤k<1500}中,是否存在正整数m,使得不等式Sn-1005>
a
2
n
2
对一切满足n>m的正整数n都成立?若存在,则这样的正整数m共有多少个?并求出满足条件的最小正整数m的值;若不存在,请说明理由;
(3)请构造一个与数列{Sn}有关的数列{un},使得
lim
n→∞
(u1+u2+…+un)
存在,并求出这个极限值.

查看答案和解析>>

科目:高中数学 来源: 题型:

设正数数列{an}的前n项之和为bn,数列{bn}的前n项之和为cn,且bn+cn=1,则|c100-a100|=
1
1

查看答案和解析>>

同步练习册答案