精英家教网 > 高中数学 > 题目详情

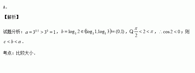
,则( )

A. B. C. D.

练习册系列答案
相关习题

科目:高中数学 来源:2014-2015学年广东省汕头市潮南区高三5月高考模拟文科数学试卷(解析版) 题型:填空题

过抛物线上的点的切线的倾斜角等于__________.

查看答案和解析>>

科目:高中数学 来源:2014-2015学年北京市丰台区高三5月统一练习二文科数学试卷(解析版) 题型:填空题

在锐角△ABC中,AB=,AC=2,△ABC的面积是4,则sinA=,BC= .

查看答案和解析>>

科目:高中数学 来源:2014-2015学年浙江省高二4月阶段性测试理科数学试卷(解析版) 题型:填空题

函数,则函数的所有零点所构成的集合为 .

查看答案和解析>>

科目:高中数学 来源:2014-2015学年浙江省高二4月阶段性测试理科数学试卷(解析版) 题型:选择题

已知函数,则( )

A. B. C. D.

查看答案和解析>>

科目:高中数学 来源:2014-2015学年浙江台州书生中学高二下学期第一次月考理科数学试卷(解析版) 题型:解答题

已知

(1)求的值;

(2)求的值.

查看答案和解析>>

科目:高中数学 来源:2014-2015学年浙江台州书生中学高二下学期第一次月考理科数学试卷(解析版) 题型:填空题

函数的定义域为 ,值域为 .

查看答案和解析>>

科目:高中数学 来源:2014-2015学年浙江省杭州地区七校高一下学期期中联考数学试卷(解析版) 题型:填空题

已知,则的值为 .

查看答案和解析>>

科目:高中数学 来源:2014-2015学年云南省蒙自市高二下学期开学考试数学试卷(解析版) 题型:解答题

(本小题10分)已知函数

(1)若,求函数的值;

(2)求函数的值域.

查看答案和解析>>

同步练习册答案