精英家教网 > 高中数学 > 题目详情
已知一圆经过点A(2,-3)和B(-2,-5),且圆心C在直线l:x-2y-3=0 上,求此圆的标准方程.
解:因为A(2,-3),B(-2,-5),
所以线段AB的中点D的坐标为(0,-4),

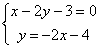
所以线段AB的垂直平分线的方程是y=-2x-4,
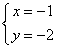
联立方程组,解得:
所以,圆心坐标为C(-1,-2),半径r=|CA|
所以,此圆的标准方程是
练习册系列答案
相关习题

科目:高中数学 来源: 题型:

已知一圆经过点A(2,-3)和B(-2,-5),且圆心C在直线l:x-2y-3=0上,求此圆的标准方程.

查看答案和解析>>

科目:高中数学 来源:2011-2012学年黑龙江省哈尔滨九中高二(上)期中数学试卷(文科)(解析版) 题型:解答题

已知一圆经过点A(2,-3)和B(-2,-5),且圆心C在直线l:x-2y-3=0上,求此圆的标准方程.

查看答案和解析>>

科目:高中数学 来源:2009-2010学年安徽省芜湖一中高二(上)数学寒假作业(必修2)(解析版) 题型:解答题

已知一圆经过点A(2,-3)和B(-2,-5),且圆心C在直线l:x-2y-3=0上,求此圆的标准方程.

查看答案和解析>>

科目:高中数学 来源:2009-2010学年福建省三明市大田一中高二(上)数学寒假作业(必修2)(解析版) 题型:解答题

已知一圆经过点A(2,-3)和B(-2,-5),且圆心C在直线l:x-2y-3=0上,求此圆的标准方程.

查看答案和解析>>

科目:高中数学 来源:2014届河北省高二上学期第一次调研考试数学试卷(解析版) 题型:解答题

已知一圆经过点A(2,-3)和B(-2,-5),且圆心C在直线l:,此圆的标准方程.

 

查看答案和解析>>

同步练习册答案