精英家教网 > 高中数学 > 题目详情

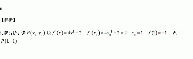
若曲线f(x)=x4-2x在点P处的切线垂直于直线x+2y+1=0,则点P的坐标为( )

A.(1,1)B.(1,-1)

C.(-1,1)D.(-1,-1)

练习册系列答案
相关习题

科目:高中数学 来源:2015-2016学年四川成都七中高二10月段考文科数学试卷(解析版) 题型:选择题

利用斜二测画法得到的

①三角形的直观图是三角形.

②平行四边形的直观图是平行四边形.

③正方形的直观图是正方形.

④菱形的直观图是菱形.

以上结论,正确的是( )

A.①② B.①④ C.③④ D.①②③④

查看答案和解析>>

科目:高中数学 来源:2014-2015学年浙江省嵊州市高二下期末检测理科数学B卷(解析版) 题型:解答题

(本小题满分14分)

对于函数,若存在,使成立,则称的一个不动点.设函数).

(Ⅰ)当时,求的不动点;

(Ⅱ)若有两个相异的不动点

(i)当时,设的对称轴为直线,求证:

(ii)若,且,求实数的取值范围.

查看答案和解析>>

科目:高中数学 来源:2014-2015学年四川省眉山市高一下学期期末考试数学试卷(解析版) 题型:选择题

已知等差数列中,是它的前项和,若,则当取最大值时,的值为

A.8 B.9 C.10 D.16

查看答案和解析>>

科目:高中数学 来源:2014-2015学年山西省高二下学期期中文科数学试卷(解析版) 题型:选择题

下列三句话按“三段论”模式排列顺序正确的是( )

① y = sin x(x ∈ R )是三角函数;

② 三角函数是周期函数;

③ y = sin x(x ∈ R )是周期函数.

A.① ② ③ B.② ① ③ C.② ③ ① D.③ ② ①

查看答案和解析>>

科目:高中数学 来源:2014-2015学年山西省高二上学期第一次月考数学试卷(解析版) 题型:选择题

下列函数中,最小正周期为的是( ).

A. B.

C. D.

查看答案和解析>>

科目:高中数学 来源:2014-2015学年江西省上饶市等四校高一6月考理科数学试卷(解析版) 题型:选择题

已知是第一象限角,则的值为( )

A、 B、 C、 D、

查看答案和解析>>

科目:高中数学 来源:2014-2015学年贵州省高二上学期期中理科数学试卷(解析版) 题型:解答题

(12分)已知F1、F2分别是椭圆的左、右焦点.

(Ⅰ)若P是第一象限内该图形上的一点,,求点P的坐标;

(Ⅱ)设过定点M(0,2)的直线l与椭圆交于同的两点A、B,且∠AOB为锐角(其中O为作标原点),求直线的斜率的取值范围.

查看答案和解析>>

科目:高中数学 来源:2015-2016学年江西新余一中高一上第一次段考数学试卷(解析版) 题型:选择题

若函数y=x2﹣3x﹣4的定义域为[0,m],值域为,则m的取值范围是( )

A.(0,4] B. C. D.

查看答案和解析>>

同步练习册答案