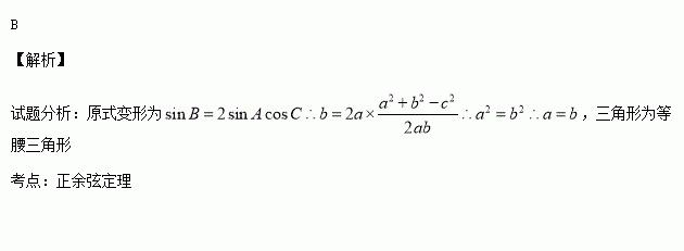
精英家教网 > 高中数学 > 题目详情

在△ABC中,已知,那么△ABC一定是( )

A.等腰直角三角形 B.等腰三角形 C.直角三角形 D.等边三角形

练习册系列答案
相关习题

科目:高中数学 来源:2014-2015学年河北省石家庄市高三下学期二模考试文科数学试卷(解析版) 题型:选择题

已知F是抛物线的焦点,直线与该抛物线交于第一象限内的点,若,则的值是 ( )

A. B. C. D.

查看答案和解析>>

科目:高中数学 来源:2014-2015学年北京市朝阳区高三第二次综合练习文科数学试卷(解析版) 题型:填空题

关于函数的性质,有如下四个命题:

①函数的定义域为

②函数的值域为

③方程有且只有一个实根;

④函数的图象是中心对称图形.

其中正确命题的序号是 .

查看答案和解析>>

科目:高中数学 来源:2014-2015学年江西省高一下学期期中考试数学试卷(解析版) 题型:解答题

(本题12分)已知函数,在中,,且的面积为

(1)求的值;(2)求的值.

查看答案和解析>>

科目:高中数学 来源:2014-2015学年江西省高一下学期期中考试数学试卷(解析版) 题型:选择题

有限数列:,, ,,为其前项和,定义的“凯森和”,若有项的数列,, ,的“凯森和”为,则有项的数列9,,, ,的“凯森和”为( )

A. B. C. D.

查看答案和解析>>

科目:高中数学 来源:2014-2015学年江西省高一下学期期中考试数学试卷(解析版) 题型:选择题

已知是等差数列,,则( )

A.36 B.30 C.24 D.18

查看答案和解析>>

科目:高中数学 来源:2014-2015学年吉林省高二下学期月考理科数学试卷(解析版) 题型:填空题

设随机变量,则= .

查看答案和解析>>

科目:高中数学 来源:2014-2015学年吉林省高二下学期月考理科数学试卷(解析版) 题型:选择题

某班一天中有节课,上午节课,下午节课,要排出此班一天中语文、数学、英语、物理、体育、艺术堂课的课程表,要求数学课排在上午,艺术课排在下午,不同排法种数为( )

A. B. C. D.

查看答案和解析>>

科目:高中数学 来源:2014-2015学年广东省高二下学期期中考试文科数学试卷(解析版) 题型:选择题

“因为指数函数y=是增函数,而y=是指数函数,所以y=是增函数”,上述推理的)

A.推理形式不正确 B.结论正确

C.小前提错误 D.大前提错误

查看答案和解析>>

同步练习册答案