精英家教网 > 高中数学 > 题目详情

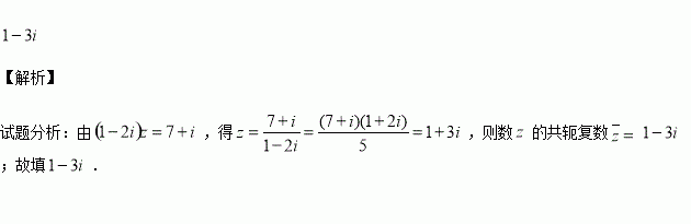
复数z满足,则复数的共轭复数

练习册系列答案
相关习题

科目:高中数学 来源:2015-2016年湖北武汉华中师大一附高二上期中文科数学卷(解析版) 题型:选择题

已知双曲线的离心率为,则a的值为( )

A. B. C. D.

查看答案和解析>>

科目:高中数学 来源:2015-2016学年湖北武汉华中师大一附高二上期中理数学卷(解析版) 题型:解答题

为捍卫钓鱼岛及其附属岛屿的领土主权,中国派出海警“2102”、“海警2307”和“海警2308”海警船编队在钓鱼岛领海巡航。某日,正巡逻在A处的海警“2102”突然发现来自P处的疑似敌舰的某信号,发现信号时“海警2307”和“海警2308”正分别位于如图所示的B、C两处,其中的正东方向相距千米处,的北偏西30°方向相距千米处。由于更远,因此,4秒后才同时发现这一信号(该信号的传播速度为每秒千米),试确定疑似敌舰相对于A的位置.

查看答案和解析>>

科目:高中数学 来源:2016届江苏省高三上学期周练数学试卷(解析版) 题型:填空题

已知实数,若以为三边长能构成一个三角形,则实数的范围为

查看答案和解析>>

科目:高中数学 来源:2016届湖南省株洲市高三上学期期中文科数学试卷(解析版) 题型:选择题

定义运算,则函数的图像是

查看答案和解析>>

科目:高中数学 来源:2016届湖北武汉华中师大一附等高三上第一次联考文数学卷(解析版) 题型:解答题

如图,在平面直角坐标系中,

(1)求的面积;

(2)若函数的图象经过三点,且的图象与轴相邻的两个交点,求的解析式.

查看答案和解析>>

科目:高中数学 来源:2016届湖北武汉华中师大一附等高三上第一次联考理数学卷(解析版) 题型:填空题

已知平面直角坐标系中,,则向量在向量的方向上的投影是

查看答案和解析>>

科目:高中数学 来源:2015-2016学年山西省太原市高二12月月考数学试卷(解析版) 题型:选择题

椭圆上一点与椭圆的两个焦点的连线互相垂直,则△的面积为( )

A. B. C. D.

查看答案和解析>>

科目:高中数学 来源:2016届湖南师范大学附中高三上学期月考三文科数学试卷(解析版) 题型:选择题

如图,椭圆的中心在坐标原点,焦点在轴上,为椭圆顶点,为右焦点,延长交于点,若为钝角,则该椭圆离心率的取值范围是( )

A. B. C. D.

查看答案和解析>>

同步练习册答案