精英家教网 > 高中数学 > 题目详情
设椭圆C1、抛物线C2的焦点均在x轴上,C1的中心和C2的顶点均为原点,从每条曲线上至少取两个点,将其坐标记录于下表中:

(1)求C1,C2的标准方程;
(2)设直线l与椭圆C1交于不同两点M,N,且,请问是否存在这样的直线l过抛物线C2的焦点F?若存在,求出直线L的方程;若不存在,说明理由.
解:(1)设抛物线C2:y2=2px(p≠0),
则有=2p(x≠0),
据此验证5个点知只有(3,)、(4,-4)在统一抛物线上,
易求C2:y2=4x,
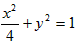
设C1=1(a>b>0),
把点(-2,0)()代入得
解得
∴C1方程为
(2)假设存在这样的直线l过抛物线焦点F(1,0),
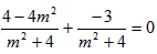
设其方程为x-1=my,设M(x1,y1),N(x2,y2),

=0(*)
消去x,
得(m2+4)y2+2my-3=0,△=16m2+48>0,



将①②代入(*)式,得
解得m=±
∴假设成立,即存在直线l过抛物线焦点F,
l的方程为:2x±y-2=0。
练习册系列答案
相关习题

科目:高中数学 来源: 题型:

已知椭圆C1的中心和抛物线C2的顶点都在原点,且两曲线的焦点均在x轴上,若A(1,2),B(2,0),C(
2
2
2
)
中有两点在椭圆C1上,另一点在抛物线C2上.
(Ⅰ)求椭圆C1和抛物线C2的方程;
(Ⅱ)设直线l与椭圆C1交于M,N两点,与抛物线C2交于P,Q两点.问是否存在直线l使得以线段MN为直径的圆和以线段PQ为直径的圆都过原点?若存在,求出直线l的方程;若不存在,请说明理由.

查看答案和解析>>

科目:高中数学 来源: 题型:

设椭圆 C1
x2
a2
+
y2
b2
=1
(a>b>0)的一个顶点与抛物线 C2x2=4
3
y
 的焦点重合,F1,F2分别是椭圆的左、右焦点,离心率 e=
1
2
,过椭圆右焦点 F2的直线 l 与椭圆 C 交于 M,N 两点.
(1)求椭圆C的方程;
(2)是否存在直线 l,使得 
OM
ON
=-2
,若存在,求出直线 l 的方程;若不存在,说明理由.

查看答案和解析>>

科目:高中数学 来源: 题型:

(2005•海淀区二模)设椭圆C1的中心在原点,其右焦点与抛物线C2:y2=4x的焦点F重合,过点F与x轴垂直的直线与C1交与A、B两点,与C2交于C、D两点,已知
|CD|
|AB|
=
4
3

(1)求椭圆C1的方程
(2)过点F的直线l与C1交与M、N两点,与C2交与P、Q两点,若
|PQ|
|MN|
=
5
3
,求直线l的方程.

查看答案和解析>>

科目:高中数学 来源: 题型:

(2005•海淀区二模)设椭圆C1的中心在原点,其右焦点与抛物线C2:y2=4x的焦点F重合,过点F与x轴垂直的直线与C1交于A、B两点,与C2交于C、D两点,已知
|CD|
|AB|
=
4
3

(Ⅰ)过点F且倾斜角为
π
3
的直线与C2:y2=4x交于P、Q两点,求|PQ|的值;
(Ⅱ)求椭圆C1的方程.

查看答案和解析>>

科目:高中数学 来源: 题型:

(2012•德州一模)设椭圆C1
x2
a2
+
y2
b2
=1(a>b>0)
的一个顶点与抛物线C2x2=4
2
y
的焦点重合,F1、F2分别是椭圆的左、右焦点,离心率e=
3
3
,过椭圆右焦点F2的直线l与椭圆C交于M、N两点.
(I)求椭圆C的方程;
(Ⅱ)是否存在直线l,使得
OM
ON
=-1
,若存在,求出直线l的方程;若不存在,说明理由.

查看答案和解析>>

同步练习册答案