精英家教网 > 高中数学 > 题目详情

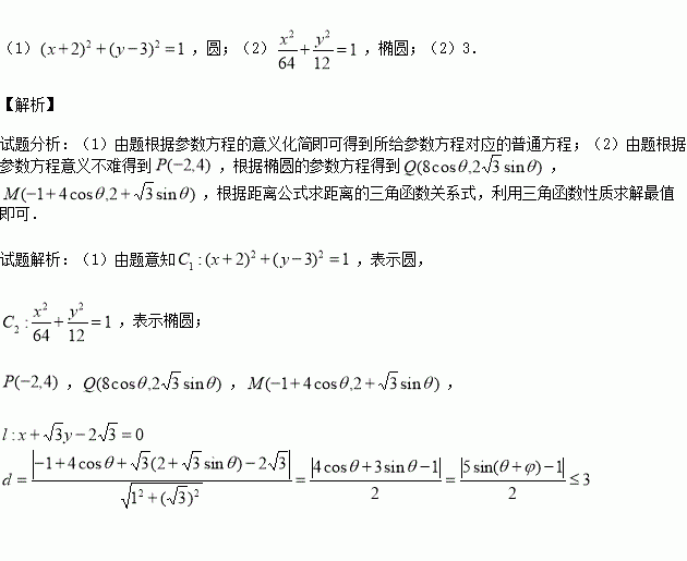
在直角坐标系中,以原点为极点,轴的正半轴为极轴建立极坐标系.已知曲线为参数),为参数).

(1)将的方程化为普通方程,并说明它们分别表示什么曲线;

(2)若上的点对应的参数为上的动点,求中点到直线的距离的最大值.

练习册系列答案
相关习题

科目:高中数学 来源:2015-2016学年湖南省、攸县一中高二上期中理科数学试卷(解析版) 题型:填空题

椭圆的左.右焦点分别为,焦距为2c,若直线与椭圆的一个交点M满足,则该椭圆的离心率等于_________.

查看答案和解析>>

科目:高中数学 来源:2015-2016学年浙江省嘉兴市高二上12月月考数学卷(解析版) 题型:选择题

四面体中,各棱长相等,的中点,则直线与平面所成角的正弦值为( )

A. B. C. D.

查看答案和解析>>

科目:高中数学 来源:2016届河北省邯郸市高三一轮收官考试二理科数学试卷(解析版) 题型:解答题

平面直角坐标系中,直线l的参数方程(t为参数),以坐标原点为极点,x轴的正半轴为极轴,建立极坐标系,已知曲线C的极坐标方程为

(1)求直线l的极坐标方程;(2)若直线l与曲线C相交于A,B两点,求|AB|.

查看答案和解析>>

科目:高中数学 来源:2016届重庆市高三12月月考文科数学试卷(解析版) 题型:解答题

已知数列的前项和为

(1)求数列的通项公式;

(2)若数列,求数列的的前项和

查看答案和解析>>

科目:高中数学 来源:2016届重庆市高三12月月考理科数学试卷(解析版) 题型:选择题

已知集合,则( )

A. B. C. D.

查看答案和解析>>

科目:高中数学 来源:2015-2016学年河北省、永年二中高二上期中理科数学试卷(解析版) 题型:填空题

如图,矩形的一边轴上,另外两个顶点在函数的图象上.若点的坐标为,记矩形的周长为,则

查看答案和解析>>

科目:高中数学 来源:2015-2016学年湖南省株洲市高二上期中数学试卷(解析版) 题型:选择题

执行如图所示的算法框图,输出的M值是( )

A.2 B. C.-1 D.-2

查看答案和解析>>

科目:高中数学 来源:2015-2016学年海南省高一上第三次月考数学试卷(解析版) 题型:解答题

已知角的终边经过点,试写出角的集合M,并把集合M中在间的角写出来.

查看答案和解析>>

同步练习册答案