精英家教网 > 高中数学 > 题目详情
点P(-1,2)到直线8x-6y+15=0的距离为( )
A.2
B.
C.1
D.
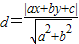
【答案】分析:点P(x,y)到直线ax+by+c=0的距离:d=,由此能求出点P(-1,2)到直线8x-6y+15=0的距离.
解答:解:点P(-1,2)到直线8x-6y+15=0的距离:
d==
故选B.
点评:本题考查点到直线的距离公式的应用,解题时要注意公式的灵活运用,合理地进行求解.
练习册系列答案
相关习题

科目:高中数学 来源: 题型:

已知L为过点P(-
3
3
2
,-
3
2
)
且倾斜角为30°的直线,圆C为圆心是坐标原点且半径等于1的圆,Q表示顶点在原点而焦点是(
2
8
,0)
的抛物线,设A为L和C在第三象限的交点,B为C和Q在第四象限的交点.
(1)写出直线L、圆C和抛物线Q的方程,并作草图.
(2)写出线段PA、圆弧AB和抛物线上OB一段的函数表达式.
(3)设P′、B′依次为从P、B到x轴的垂足,求由圆弧AB和直线段BB′、B′P′、P′P、PA所包含的面积.

查看答案和解析>>

科目:高中数学 来源: 题型:

精英家教网如图,在直三棱柱ABC-A1B1C1中,∠ABC=90°,AB=BC=AA1=2,D是AB的中点
(1)求证:ACl∥平面B1DC
(2)若E是A1B1的中点,点P为一动点,记PB1=x,点P从E出发,沿着三棱柱的棱,按E经A1到4的路线运动,求这一过程中三棱锥P-BCC1的体积的表达式y(z),并求V(x)的最大值和最小值.

查看答案和解析>>

科目:高中数学 来源: 题型:

已知动点P与直x=4的距离等于它到定点F(1,0)的距离的2倍,
(1)求动点P的轨迹C的方程;
(2)点M(1,1)在所求轨迹内,且过点M的直线与曲线C交于A、B,当M是线段AB中点时,求直线AB的方程.

查看答案和解析>>

科目:高中数学 来源: 题型:

如图,直四棱柱ABCD-A1B1C1D1的底面是梯形,AB∥CD,AD⊥DC,CD=2,DD1=AB=1,
P、Q分别是CC1、C1D1的中点.点P到直线AD1的距离为
66
4

(1)求证:AC∥平面BPQ;
(2)求二面角B-PQ-D的大小.

查看答案和解析>>

科目:高中数学 来源: 题型:

在正三角形△ABC中,E,F,P分别是AB,AC,BC边上的点,满足:AE:EB=CF:FA=CP:PB=1:2(如图1),将△AEF沿EF折成到△A1EF的位置,使二面角A1-EF-B成直二面角,连接A1B,A1P(如图2)
(1)求证:A1E⊥平面BEP;
(2)求二面角B-A1P-F的余弦值;
(3)求点F到平面A1BP的距离.

查看答案和解析>>

同步练习册答案