精英家教网 > 高中数学 > 题目详情
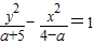
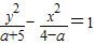
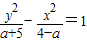
若曲线的焦点为定点,则焦点坐标是   
【答案】分析:当 a-4 和 a+5符号相同时,曲线表示焦点在y轴上的椭圆,求出c=3,当 a-4 和 a+5符号相反时,曲线表示焦点在y轴上的双曲线,标准方程为 ,求出c=3,从而得到焦点坐标.
解答:解:曲线的焦点为定点,当 a-4 和 a+5符号相同时,曲线表示焦点在y轴上的椭圆,
c==3,故焦点坐标是 (0,±3).
当 a-4 和 a+5符号相反时,曲线表示焦点在y轴上的双曲线,标准方程为
双曲线的标准方程为 ,∴焦点在y轴上,c==3,
故焦点坐标是 (0,±3).
故答案为:(0,±3).
点评:本题考查椭圆的标准方程,以及简单性质的应用,双曲线的标准方程,以及双曲线的简单性质的应用,体现了分类讨论的
数学思想,求出c=3,是解题的关键.
练习册系列答案
相关习题

科目:高中数学 来源: 题型:

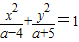
若曲线
x2
a-4
+
y2
a+5
=1
的焦点为定点,则焦点坐标是
 

查看答案和解析>>

科目:高中数学 来源:2011-2012年福建省福州市高二上学期期末考试理科数学 题型:填空题

若曲线的焦点为定点,则焦点坐标是        .

 

查看答案和解析>>

科目:高中数学 来源: 题型:填空题

若曲线数学公式的焦点为定点,则焦点坐标是________.

查看答案和解析>>

科目:高中数学 来源: 题型:

已知圆锥曲线的焦点为,相应的准线方程为,且曲线过定点.

又直线与曲线交于两点.

(1)求曲线的轨迹方程;

(2)试判断是否存在直线,使得点是△重心.若存在,求出对应的直线的方程;

若不存在,请说明理由;

(3)试判断是否存在直线,使得点是△的的垂心.若存在,求出对应的直线的方程;

若不存在,请说明理由.

查看答案和解析>>

同步练习册答案