精英家教网 > 高中数学 > 题目详情

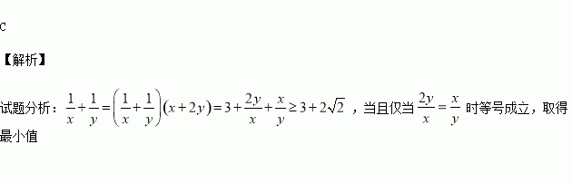
已知正数的最小值为

A、 B、 C、 D、

练习册系列答案
相关习题

科目:高中数学 来源:2016届云南省高三适应性月考二理科数学试卷(解析版) 题型:选择题

一个棱锥的三视图如图所示,其中侧视图为正三角形,则四棱锥侧面中最大侧面的面积是( )

A、1 B、 C、 D、

查看答案和解析>>

科目:高中数学 来源:2016届湖北省、宜昌一中高三10月联考文科数学试卷(解析版) 题型:填空题

给出下列命题:

是幂函数;

⑵“”是“”的充分不必要条件;

的解集是

⑷ 函数的图象关于点成中心对称;

⑸ 命题“若,则”的逆否命题为真命题.

其中真命题的序号是 (写出所有正确命题的序号)

查看答案和解析>>

科目:高中数学 来源:2016届浙江省瑞安市高三上学期第一次四校联考文科数学试卷(解析版) 题型:填空题

,则的值为 ,不等式的解集为

查看答案和解析>>

科目:高中数学 来源:2015-2016学年江西省南昌市高一上学期期中考试数学试卷(解析版) 题型:选择题

已知集合M={x ∈N | 8-x∈N},则M中元素的个数是( ).

A、10 B、9 C、8 D、无数个

查看答案和解析>>

科目:高中数学 来源:2015-2016学年甘肃省嘉峪关市高二上学期期中考试理科数学试卷(解析版) 题型:选择题

已知x,y满足则2x-y的最大值为( )

A.1 B.2 C.3 D.4

查看答案和解析>>

科目:高中数学 来源:2016届浙江宁波效实中学高三上期中考试理科数学试卷(解析版) 题型:填空题

已知为三角形的外心,,若,则的最小值为

查看答案和解析>>

科目:高中数学 来源:2016届山东省高三第二次诊断性考试理科数学试卷(解析版) 题型:解答题

(本小题满分12分)

已知函数的最小正周期为

(Ⅰ)求的值及函数的单调递增区间;

(Ⅱ)当时,求函数的取值范围.

查看答案和解析>>

科目:高中数学 来源:2015-2016学年湖北省高二上期中文科数学试卷(解析版) 题型:选择题

已知椭圆上有一点A,它关于原点的对称点为B,点F为椭圆的右焦点,且满足,设,且,则该椭圆的离心率e的取值范围为( )

A. B.

C. D.

查看答案和解析>>

同步练习册答案