精英家教网 > 高中数学 > 题目详情

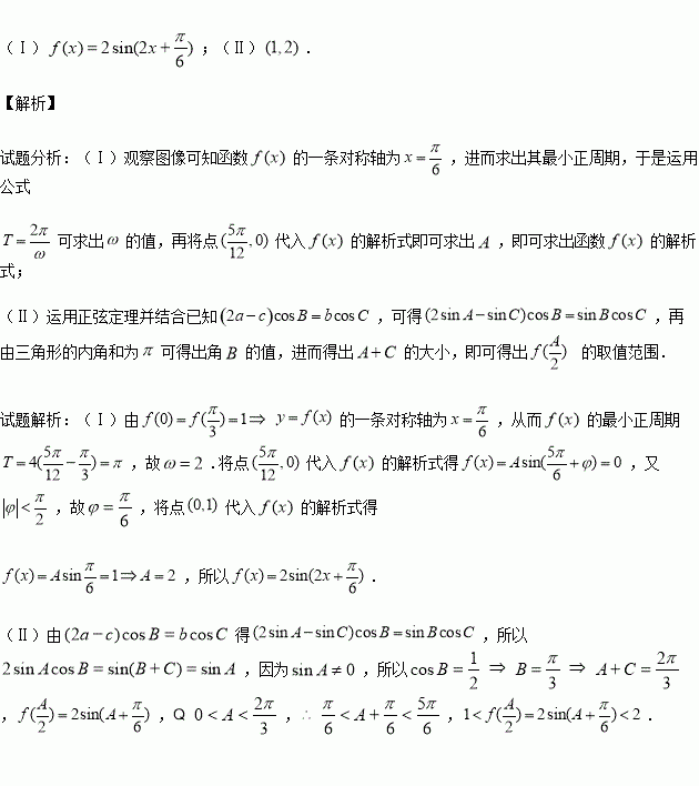
已知函数的部分图象如图所示.

(Ⅰ)求函数的解析式;

(Ⅱ)在△中,角的对边分别是,若,求 的取值范围.

练习册系列答案
相关习题

科目:高中数学 来源:2015-2016学年吉林实验中学高二上学期期中文科数学试卷(解析版) 题型:选择题

关于直线对称的圆的方程是

A. B.

C. D.

查看答案和解析>>

科目:高中数学 来源:2016届北京市海淀区高三上学期期中考试文科数学试卷(解析版) 题型:填空题

若等差数列满足,则= ______.

查看答案和解析>>

科目:高中数学 来源:2016届浙江省嘉兴市高三上学期能力测试理科数学试卷(解析版) 题型:填空题

若集合,则_______,_______.

查看答案和解析>>

科目:高中数学 来源:2016届江西省新余市高三第四次模拟考理科数学试卷(解析版) 题型:选择题

已知集合定义映射则从中任取一个映射满足由点构成则使得的概率为( )

A. B. C. D.

查看答案和解析>>

科目:高中数学 来源:2016届黑龙江省哈尔滨市高三12月月考文科数学试卷(解析版) 题型:解答题

选修4一5:不等式选讲

已知函数

(1)解关于的不等式);

(2)若函数的图象恒在函数图象的上方,求的取值范围.

查看答案和解析>>

科目:高中数学 来源:2016届河南省郑州市高三上学期联考文科数学试卷(解析版) 题型:填空题

函数若方程恰有四个不相等的实数根,则实数m的取值范围是_____.

查看答案和解析>>

科目:高中数学 来源:2015-2016学年浙江省温州市高一上学期期中考试数学试卷(解析版) 题型:选择题

已知函数( )

A. B、0 C、1 D、2

查看答案和解析>>

科目:高中数学 来源:2016上海复旦大学附中届高三上期中文科数学试卷(解析版) 题型:填空题

数列中,若),则 .

查看答案和解析>>

同步练习册答案