精英家教网 > 高中数学 > 题目详情

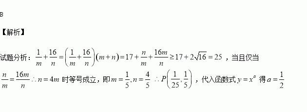
已知正实数满足,且使取得最小值.若曲线过点的值为( )

A. B. C.2 D.3

练习册系列答案
相关习题

科目:高中数学 来源:2016届宁夏吴忠中学高三上学期第四次月考理科数学试卷(解析版) 题型:选择题

已知某几何体的三视图如图所示,则该几何体的体积为( )

A. B. C. D.

查看答案和解析>>

科目:高中数学 来源:2015-2016学年贵州省高一上学期中考试数学试卷(解析版) 题型:解答题

已知函数

(1)求

(2)求的值;

(3)求

查看答案和解析>>

科目:高中数学 来源:2015-2016学年湖南省、攸县一中高二上期中理科数学试卷(解析版) 题型:填空题

已知命题P:(1-x)(x+4),q:x2-6x+9-m2,若P是q的充分不必要条件,求m的取值范围。

查看答案和解析>>

科目:高中数学 来源:2015-2016学年山东省新泰市高二上学期期中考试理科数学试卷(解析版) 题型:选择题

已知x,y满足,则使目标函数z=y﹣x取得最小值﹣4的最优解为( )

A.(2,﹣2) B.(﹣4,0) C.(4,0) D.(7,3)

查看答案和解析>>

科目:高中数学 来源:2015-2016学年浙江省温州市十校联合体高二上学期期中考试数学试卷(解析版) 题型:填空题

过点A(2,3)且垂直于直线2x+y-5=0的直线方程为__________.

查看答案和解析>>

科目:高中数学 来源:2015-2016学年湖北省等四校高二上学期期中理科数学试卷(解析版) 题型:选择题

圆C1:与圆C2:相切,则为( )

A.4 B.6 C.4或6 D.不确定

查看答案和解析>>

科目:高中数学 来源:2015-2016学年浙江省嘉兴市高二上12月月考数学卷(解析版) 题型:选择题

某三棱锥的三视图如图所示,则该三棱锥的表面积是( )

A. B. C. D.

查看答案和解析>>

科目:高中数学 来源:2015-2016学年河北省、永年二中高二上期中理科数学试卷(解析版) 题型:解答题

已知数列的前n项和是,满足.[

(1)求数列的通项

(2)设,求的前n项和

查看答案和解析>>

同步练习册答案