精英家教网 > 高中数学 > 题目详情
设函数f(x)=ex-ax-2。
(1)求f(x)的单调区间;
(2)若a=1,k为整数,且当x>0时,(x-k) f ′(x)+x+1>0,求k的最大值。
解:(1)函数f(x)=ex-ax-2的定义域是R,f′(x)=ex-a,
若a≤0,则f′(x)=ex-a≥0,
所以函数f(x)=ex-ax-2在(-∞,+∞)上单调递增
若a>0,则当x∈(-∞,lna)时,f′(x)=ex-a<0;
当x∈(lna,+∞)时,f′(x)=ex-a>0;
所以,f(x)在(-∞,lna)单调递减,在(lna,+∞)上单调递增。
(2)由于a=1,所以,(x-k)f′(x)+x+1=(x-k)(ex-1)+x+1
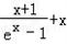
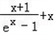
故当x>0时,(x-k)f′(x)+x+1>0等价于k<(x>0)①
令g(x)=,则g′(x)=
由(1)知,函数h(x)=ex-x-2在(0,+∞)上单调递增,而h(1)<0,h(2)>0,
所以h(x)=ex-x-2在(0,+∞)上存在唯一的零点,
故g′(x)在(0,+∞)上存在唯一的零点,
设此零点为α,则有α∈(1,2)当x∈(0,α)时,g′(x)<0;
当x∈(α,+∞)时,g′(x)>0;
所以g(x)在(0,+∞)上的最小值为g(α)
又由g′(α)=0,可得eα=α+2
所以g(α)=α+1∈(2,3)
由于①式等价于k<g(α),
故整数k的最大值为2。
练习册系列答案
相关习题

科目:高中数学 来源: 题型:

设函数f(x)=ex-1-x-ax2
(1)若a=0,求f(x)的单调区间;
(2)若当x≥0时f(x)≥0,求a的取值范围.

查看答案和解析>>

科目:高中数学 来源: 题型:

18、设函数f(x)=ex[x2-(1+a)x+1](x∈R),
(I)若曲线y=f(x)在点P(0,f(0))处的切线与直线y=x+4平行.求a的值;
(II)求函数f(x)单调区间.

查看答案和解析>>

科目:高中数学 来源: 题型:

设函数f(x)=ex+aex(x∈R)是奇函数,则实数a=
-1
-1

查看答案和解析>>

科目:高中数学 来源: 题型:

设函数f(x)=ex
(I)求证:f(x)≥ex;
(II)记曲线y=f(x)在点P(t,f(t))(其中t<0)处的切线为l,若l与x轴、y轴所围成的三角形面积为S,求S的最大值.

查看答案和解析>>

科目:高中数学 来源: 题型:

设函数f(x)=ex(e为自然对数的底数),g(x)=x2-x,记h(x)=f(x)+g(x).
(1)h′(x)为h(x)的导函数,判断函数y=h′(x)的单调性,并加以证明;
(2)若函数y=|h(x)-a|-1=0有两个零点,求实数a的取值范围.

查看答案和解析>>

同步练习册答案