精英家教网 > 高中数学 > 题目详情

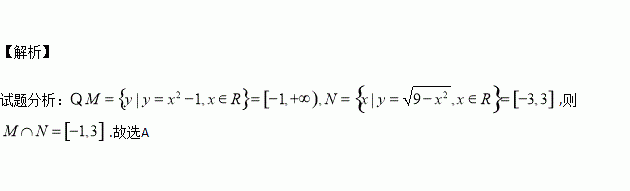
集合,集合,则( )

A. B.

C. D.

练习册系列答案
相关习题

科目:高中数学 来源:2017届湖北黄冈中学高三上学期周末测试9.10数学试卷(解析版) 题型:选择题

已知某几何体的三视图如下图所示,则该几何体的体积是( )

A. B.

C. D.

查看答案和解析>>

科目:高中数学 来源:2017届甘肃武威二中高三上学期月考一数学(理)试卷(解析版) 题型:选择题

已知函数的定义域为,且满足,当时,,则函数的大致图象为( )

A. B.

C. D.

查看答案和解析>>

科目:高中数学 来源:2016届新疆乌鲁木齐八一中学高三上学期月考一数学(理)试卷(解析版) 题型:填空题

已知A={x|x2-x+a=0}=,则实数a的取值范围是

查看答案和解析>>

科目:高中数学 来源:2016届新疆乌鲁木齐八一中学高三上学期月考一数学(理)试卷(解析版) 题型:选择题

将函数的图像左移,再将图像上各点横坐标压缩到原来的,则所得到的图象的解析式为( )

A. B.

C. D.

查看答案和解析>>

科目:高中数学 来源:2017届广西南宁二中等校高三8月联考数学(理)试卷(解析版) 题型:解答题

已知抛物线的焦点为,过点的直线交抛物线于两点.

(1)若,求直线的斜率;

(2)设点在线段上运动,原点关于点的对称点为,求四边形面积的最小值.

查看答案和解析>>

科目:高中数学 来源:2017届广西南宁二中等校高三8月联考数学(理)试卷(解析版) 题型:填空题

满足约束条件,那么的最大值是__________.

查看答案和解析>>

科目:高中数学 来源:2016-2017学年安徽六安一中高二上周末作业一理数学试卷(解析版) 题型:解答题

中,分别为内角的对边,且.

(1)求的大小;

(2)求的最大值.

查看答案和解析>>

科目:高中数学 来源:2017届湖北襄阳五中高三上学期开学考数学(理)试卷(解析版) 题型:解答题

选修4-4:坐标系与参数方程

在直角坐标系中,圆的参数方程分别是为参数)和 为参数),以为极点,轴的正半轴为极轴建立极坐标系.

(1)求圆的极坐标方程;

(2)射线与圆的交点为,与圆的交点为,求的最大值.

查看答案和解析>>

同步练习册答案