精英家教网 > 高中数学 > 题目详情

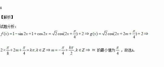
把函数f(x)=sin2x-2sinxcosx+3cos2x的图像沿轴向左平移m(m>0)个单位,所得函数g(x)的图像关于直线x= 对称,则m的最小值为( )

A. B. C. D.

练习册系列答案
相关习题

科目:高中数学 来源:2016-2017学年河北枣强中学高二上学期月考二数学试卷(解析版) 题型:解答题

如图,在四棱锥中,底面是边长为1的正方形,底面中点.

(1)求证:直线平面

(2)求直线与平面所成角的大小;

(3)求点到平面的距离.

查看答案和解析>>

科目:高中数学 来源:2016届江苏省高三12月月考数学试卷(解析版) 题型:填空题

中线的中点,为边中点,且,若,则__________.

查看答案和解析>>

科目:高中数学 来源:2016届青海西宁五中四中十四中高三下学期联考数学(理)试卷(解析版) 题型:解答题

为了普及环保知识增强环保意识,某校从理工类专业甲班抽取60人,从文史类乙班抽取50人参加环保知识测试.

(1)根据题目条件完成下面2×2列联表,并据此判断你是否有99%的把握认为环保知识与专业有关?

优秀

非优秀

总计

甲班

乙班

30

总计

60

(2)为参加上级举办的环保知识竞赛,学校举办预选赛,预选赛答卷满分100分,优秀的同学得60分以上通过预选,非优秀的同学得80分以上通过预选,若每位同学得60分以上的概率为,得80分以上的概率为,现已知甲班有3人参加预选赛,其中1人为优秀学生,若随机变量X表示甲班通过预选的人数,

求X的分布列及期望E(X).

附: , n=a+b+c+d

P(K2>k0)

0.100

0.050

0.025

0.010[

0.005

k0

2.706

3.84

5.02

6.635

7.879

查看答案和解析>>

科目:高中数学 来源:2016届青海西宁五中四中十四中高三下学期联考数学(理)试卷(解析版) 题型:选择题

已知函数是R上的偶函数,在上为减函数且对都有,若是钝角三角形的两个锐角,则( )

A.

B.

C.

D.的大小关系不确定

查看答案和解析>>

科目:高中数学 来源:2016届青海西宁五中四中十四中高三下学期联考数学(理)试卷(解析版) 题型:填空题

已知复数z满足z(1+i)2=1-i,则复数z对应的点在________上( )

A.直线y=-x B.直线y=x C.直线y=- D.直线x=-

查看答案和解析>>

科目:高中数学 来源:2015-2016学年广东茂名十七中高二下学期期末数学(理)试卷(解析版) 题型:解答题

调查200名50岁以上有吸烟习惯与患慢性气管炎的人的情况,获数据如下

患慢性气管炎

未患慢性气管炎

总计

吸烟

30

100

不吸烟

35

100

合计

105

95

200

(1)表中的值分别是多少;

(2)试问:有吸烟习惯与患慢性气管炎病是否有关?

查看答案和解析>>

科目:高中数学 来源:2017届河北省五个一推荐高三上学期一模数学(文)试卷(解析版) 题型:解答题

选修4-5:不等式选讲

已知函数

(Ⅰ)当时,求函数的定义域;

(Ⅱ)当函数的定义域为时,求实数的取值范围.

查看答案和解析>>

科目:高中数学 来源:2016届河南六市高三第二次联考数学(文)试卷(解析版) 题型:选择题

已知x,y∈R,且满足的最大值是( )

A.10 B.8 C.6 D.3

查看答案和解析>>

同步练习册答案