精英家教网 > 高中数学 > 题目详情

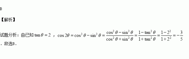
已知角的顶点与原点重合,始边与轴的正半轴重合,终边在直线上,则( )

A. B. C. D.

练习册系列答案
相关习题

科目:高中数学 来源:2015-2016学年四川省雅安市高二11月月考理科数学试卷(解析版) 题型:选择题

已知圆及直线,直线被圆截得的弦长为,则 ( )

A. B. C. D.

查看答案和解析>>

科目:高中数学 来源:2016届云南师范大学附属中学高三月考四理科数学试卷(解析版) 题型:填空题

点P为双曲线右支上的一点,其右焦点为,若直线的斜率为

M为线段的中点,且,则该双曲线的离心率为 .

查看答案和解析>>

科目:高中数学 来源:2015-2016学年福建三明一中高二上第二次月考理科数学卷(解析版) 题型:选择题

若向量,且的夹角余弦为,则等于( )

A. B. C. D

查看答案和解析>>

科目:高中数学 来源:2015-2016学年河北省高一上周考数学试卷(解析版) 题型:解答题

如图,在中,内一点,

(1)若,求

(2)若,求

查看答案和解析>>

科目:高中数学 来源:2015-2016学年内蒙古巴彦淖尔一中高二上期中文科数学卷(解析版) 题型:选择题

的焦点与椭圆的右焦点重合,则的值为( )

A. B. C. D.

查看答案和解析>>

科目:高中数学 来源:2016届上海市七校高三上12月联考文科数学试卷(解析版) 题型:解答题

(2015秋•上海月考)已知=(cos2sinx),=(2,1),设函数f(x)=

(1)当x,求函数f(x)的值域;

(2)当f(α)=,且﹣,求sin(2)的值.

查看答案和解析>>

科目:高中数学 来源:2016届陕西省渭南市高三上第三次月考数学试卷(解析版) 题型:解答题

(2011•威海模拟)已知函数在点(﹣1,f(﹣1))的切线方程为x+y+3=0.

(Ⅰ)求函数f(x)的解析式;

(Ⅱ)设g(x)=lnx,求证:g(x)≥f(x)在x∈[1,+∞)上恒成立.

查看答案和解析>>

科目:高中数学 来源:2016届宁夏石嘴山三中高三上第三次适应性考试理科数学试卷(解析版) 题型:选择题

(2015•郑州一模)已知长方体的底面是边长为1的正方形,高为,其俯视图是一个面积为1的正方形,侧视图是一个面积为2的矩形,则该长方体的正视图的面积等于( )

A.1 B. C.2 D.

查看答案和解析>>

同步练习册答案