精英家教网 > 高中数学 > 题目详情

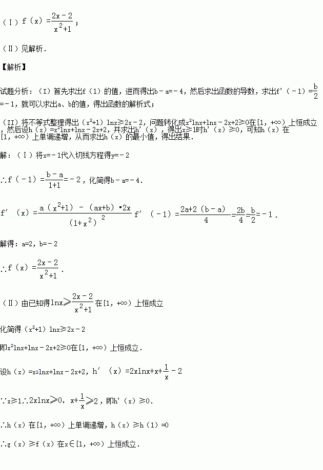
(2011•威海模拟)已知函数在点(﹣1,f(﹣1))的切线方程为x+y+3=0.

(Ⅰ)求函数f(x)的解析式;

(Ⅱ)设g(x)=lnx,求证:g(x)≥f(x)在x∈[1,+∞)上恒成立.

练习册系列答案
相关习题

科目:高中数学 来源:2015-2016学年山东省淄博市高一上学期期中考试数学试卷(解析版) 题型:填空题

对于函数定义域中任意的,有如下结论:

时,上述结论中正确结论的序号是___ __.

查看答案和解析>>

科目:高中数学 来源:2015-2016学年河北省高一上周考数学试卷(解析版) 题型:选择题

已知角的顶点与原点重合,始边与轴的正半轴重合,终边在直线上,则( )

A. B. C. D.

查看答案和解析>>

科目:高中数学 来源:2016届上海市七校高三上12月联考理科数学试卷(解析版) 题型:解答题

(2015秋•上海月考)已知椭圆E的长轴长与焦距比为2:1,左焦点F(﹣2,0),一定点为P(﹣8,0).

(1)求椭圆E的标准方程;

(2)过P的直线与椭圆交于P1、P2两点,设直线P1F、P2F的斜率分别为k1、k2,求证:k1+k2=0.

(3)求△P1P2F面积的最大值.

查看答案和解析>>

科目:高中数学 来源:2016届上海市高三上12月月考理科数学试卷(解析版) 题型:选择题

(2012•宝山区一模)已知l,m,n是空间三条直线,则下列命题正确的是( )

A.若l∥m,l∥n,则m∥n

B.若l⊥m,l⊥n,则m∥n

C.若点A、B不在直线l上,且到l的距离相等,则直线AB∥l

D.若三条直线l,m,n两两相交,则直线l,m,n共面

查看答案和解析>>

科目:高中数学 来源:2016届陕西省商洛市高三上第二次模拟文科数学试卷(解析版) 题型:解答题

(2015秋•商洛月考)在正项数列{an}中,a1=1,点An()在曲线y2﹣x2=1上,数列{bn}中,点(bn,Tn)在直线y=﹣x+1上,其中Tn是数列{bn}的前n项和.

(1)求数列{an},{bn}的通项公式an,bn;

(2)若cn=an•bn,数列{cn}的前n项和Sn.

查看答案和解析>>

科目:高中数学 来源:2016届陕西省商洛市高三上第二次模拟理科数学试卷(解析版) 题型:解答题

(2015秋•商洛月考)(1)已知在△ABC中,sinA+cosA=,求tanA的值.

(2)已知π<a<2π,cos(α﹣7π)=﹣,求sin(3π+α)•tan(α﹣π)的值.

查看答案和解析>>

科目:高中数学 来源:2016届江苏省盐城市高三上12月月测数学试卷(解析版) 题型:填空题

(2015秋•盐城校级月考)设D是△ABC所在平面内一点,且,设,则x+y=

查看答案和解析>>

科目:高中数学 来源:2015-2016学年陕西西藏民族学院附中高一上期末数学试卷(解析版) 题型:解答题

已知集合,如果,求实数的取值范围.

查看答案和解析>>

同步练习册答案