精英家教网 > 高中数学 > 题目详情

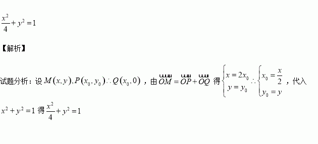
已知点是圆上的一个动点,过点轴于点,设,则点的轨迹方程______________.

练习册系列答案
相关习题

科目:高中数学 来源:2016届安徽省高三上第五次月考理科数学试卷(解析版) 题型:解答题

椭圆的左、右焦点分别是,过斜率为1的直线与椭圆C相交于A,B两点,且

(1)求椭圆的离心率;

(2)设点,求椭圆C的方程.

查看答案和解析>>

科目:高中数学 来源:2016届河北省高三上学期期中考试文科数学试卷(解析版) 题型:填空题

中,角的对边分别为,且边上的中线的长为

(1)求角和角的大小;

(2)求的面积

查看答案和解析>>

科目:高中数学 来源:2015-2016学年福建省高一上第二次月考数学试卷(解析版) 题型:选择题

()的值域为 ( )

A. B. C. D.

查看答案和解析>>

科目:高中数学 来源:2015-2016学年湖北航天高中等校高二上学期期中联考数学试卷(解析版) 题型:填空题

将容量为n的样本数据分成6组,绘制频率分布直方图,若第一组至第六组的数据的频率之比为2:3:4:6:4:1,且前三组数据的频数之和等于27,则n=

查看答案和解析>>

科目:高中数学 来源:2015-2016学年河北省邯郸市等校高二上学期期中理科数学试卷(解析版) 题型:选择题

已知双曲线的一个焦点与抛物线的焦点重合,且双曲线的离心率等于,则双曲线的方程为( )

A. B. C. D.

查看答案和解析>>

科目:高中数学 来源:2015-2016学年山东省高二上学期期中考试文科数学试卷(解析版) 题型:选择题

在△中,分别为角 所对的边,若,则此三角形一定是 ( )

A.正三角形 B.直角三角形

C.等腰三角形 D.等腰或直角三角形

查看答案和解析>>

科目:高中数学 来源:2015-2016学年浙江省温州市高二上学期期中考试数学试卷(解析版) 题型:选择题

已知直线是圆的对称轴.过点作圆的一条切线,切点为,则( )

A. B. C . D.

查看答案和解析>>

科目:高中数学 来源:2016届重庆市高三12月月考理科数学试卷(解析版) 题型:选择题

《莱因德纸草书》(Rhind Papyrus)是世界上最古老的数学著作之一,书中有这样一道题:把120

个面包分成5份,使每份的面包数成等差数列,且较多的三份之和恰好是较少的两份之和的7倍,则最

少的那份有( )个面包.

A.4 B.3 C.2 D.1

查看答案和解析>>

同步练习册答案