科目:高中数学 来源:2015-2016学年山东省高二上学情调查文科数学卷(解析版) 题型:解答题
设数列
为等差数列,且
;数列
的前n项和为
,且
.
(1)求数列
的通项公式;
(2)若
,
为数列
的前n项和,求
.
查看答案和解析>>
科目:高中数学 来源:2015-2016学年湖南师大附中高二上第二次段测理科数学卷(解析版) 题型:填空题
已知f(x)是定义在[-2,2]上的奇函数,当
时,
,函数
,如果对于任意
,存在
,使得
,则实数m的取值范围是______.
查看答案和解析>>
科目:高中数学 来源:2015-2016学年河北省邯郸市等校高二上学期期中文科数学试卷(解析版) 题型:填空题
已知点
是圆
上的一个动点,过点
作
轴于点
,设
,则点
的轨迹方程______________.
查看答案和解析>>
科目:高中数学 来源:2015-2016学年山东省高二上学期期中考试文科数学试卷(解析版) 题型:解答题
若数列
的前
项和为
,
且
.
(1)求
,
;
(2)求证:数列
是常数列;
(3)求证:![]()
查看答案和解析>>
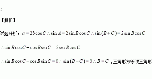
科目:高中数学 来源:2015-2016学年山东省高二上学期期中考试理科数学试卷(解析版) 题型:选择题
在△
中,
分别为角
所对的边,若
,则此三角形一定是 ( )
A.正三角形 B.直角三角形
C.等腰三角形 D.等腰或直角三角形
查看答案和解析>>
科目:高中数学 来源:2015-2016学年湖北省等高二上学期期中联考文科数学试卷(解析版) 题型:选择题
在空间直角坐标系中,点
关于
平面的对称点的坐标是( )
A.
B.
C.
D.![]()
查看答案和解析>>
科目:高中数学 来源:2015-2016学年湖北省襄阳市等高一上学期期中联考数学试卷(解析版) 题型:选择题
下列关于函数
的说法正确的是( )
A.当
时
在
处有最小值
B.当
时
在
处有最小值
C.当
时
在
处有最小值
D.当
时
在
处有最小值
查看答案和解析>>
科目:高中数学 来源:2016届辽宁省大连市高三12月月考文科数学试卷(解析版) 题型:填空题
如图,F1、F2是双曲线
的左、右焦点,过F1的直线
与双曲线的左右两支分别交于点A、B.若
为等边三角形,则双曲线的离心率为 .
![]()
查看答案和解析>>
湖北省互联网违法和不良信息举报平台 | 网上有害信息举报专区 | 电信诈骗举报专区 | 涉历史虚无主义有害信息举报专区 | 涉企侵权举报专区
违法和不良信息举报电话:027-86699610 举报邮箱:58377363@163.com