精英家教网 > 高中数学 > 题目详情

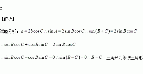
在△ 中, 分别为角 所对的边,若,则此三角形一定是 ( )

A.正三角形 B.直角三角形

C.等腰三角形 D.等腰或直角三角形

练习册系列答案
相关习题

科目:高中数学 来源:2015-2016学年山东省高二上学情调查文科数学卷(解析版) 题型:选择题

中,角A,B,C所对边的长分别为,若,则的最小值为( )

A. B. C. D.

查看答案和解析>>

科目:高中数学 来源:2015-2016学年福建省高一上第二次月考数学试卷(解析版) 题型:选择题

()的值域为 ( )

A. B. C. D.

查看答案和解析>>

科目:高中数学 来源:2015-2016学年河北省邯郸市等校高二上学期期中理科数学试卷(解析版) 题型:选择题

已知双曲线的一个焦点与抛物线的焦点重合,且双曲线的离心率等于,则双曲线的方程为( )

A. B. C. D.

查看答案和解析>>

科目:高中数学 来源:2015-2016学年山东省高二上学期期中考试文科数学试卷(解析版) 题型:选择题

在△中,分别为角 所对的边,若,则此三角形一定是 ( )

A.正三角形 B.直角三角形

C.等腰三角形 D.等腰或直角三角形

查看答案和解析>>

科目:高中数学 来源:2015-2016学年湖北省等高二上学期期中联考文科数学试卷(解析版) 题型:选择题

有2个人在一座6层大楼的底层进入电梯,假设每一个人都自第二层开始在每一层离开电梯是等可能的,则2个人在不同层离开的概率为( )

A. B. C. D.

查看答案和解析>>

科目:高中数学 来源:2015-2016学年浙江省温州市高二上学期期中考试数学试卷(解析版) 题型:选择题

已知直线是圆的对称轴.过点作圆的一条切线,切点为,则( )

A. B. C . D.

查看答案和解析>>

科目:高中数学 来源:2015-2016学年湖南省高二上学期期中考试文科数学试卷(解析版) 题型:解答题

:方程有两个不等的负根,:方程无实根,若为真,为假,求的取值范围.

查看答案和解析>>

科目:高中数学 来源:2016届辽宁省大连市高三12月月考理科数学试卷(解析版) 题型:填空题

定义在R上的偶函数满足:①对任意都有成立;②; ③当时,都有.若方程在区间上恰有3个不同实根,则实数的取值范围是

查看答案和解析>>

同步练习册答案