精英家教网 > 高中数学 > 题目详情

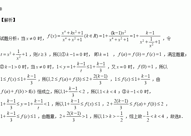
已知函数,若对任意三个实数,均存在一个以为三边之长的三角形,则的取值范围是( )

A. B.

C. D.

练习册系列答案
相关习题

科目:高中数学 来源:2015-2016学年河北省邯郸市等校高二上学期期中文科数学试卷(解析版) 题型:解答题

正项数列满足

(1)求数列的通项公式;

(2)令,求数列的前项和

查看答案和解析>>

科目:高中数学 来源:2015-2016学年湖北省襄阳市等高一上学期期中联考数学试卷(解析版) 题型:选择题

若函数,当时有恒成立,则的范围是( )

A. B. C. D.[

查看答案和解析>>

科目:高中数学 来源:2015-2016学年山东省枣庄市高二10月学情调查数学试卷(解析版) 题型:填空题

某登山队在山脚处测得山顶的仰角为,沿倾斜角为的斜坡前进1000m后到达处,又测得山顶的仰角为,则山的高度为____________m

查看答案和解析>>

科目:高中数学 来源:2015-2016学年湖南株洲二中高二上第三次月考理数学卷(解析版) 题型:选择题

若曲线f(x)=x4-2x在点P处的切线垂直于直线x+2y+1=0,则点P的坐标为( )

A.(1,1) B.(1,-1) C.(-1,1) D.(-1,-1)

查看答案和解析>>

科目:高中数学 来源:2016届云南师大附中高考适应性月考四文科数学试卷(解析版) 题型:解答题

某校联合社团有高一学生126人,高二学生105人,高三学生42人,现

用分层抽样的方法从中抽取13人进行关于社团活动的问卷调查.设问题的选择分为“赞同”和“不赞同”两种,且每人都做出了一种选择.下面表格中提供了被调查学生答卷情况的部分信息.

(1)完成下列统计表:

(2)估计联合社团的学生中“赞同”的人数;

(3)从被调查的高二学生中选取2人进行访谈,求选到的两名学生中恰好有一人“赞同”的概率.

查看答案和解析>>

科目:高中数学 来源:2016届辽宁省大连市高三12月月考文科数学试卷(解析版) 题型:解答题

已知定点F(3,0)和动点P(x,y),H为PF的中点,O为坐标原点,且满足

(1)求点P的轨迹方程;

(2)过点F作直线与点P的轨迹交于A,B两点,点C(2,0).连接AC,BC与直线分别交于点M,N.试证明:以MN为直径的圆恒过点F.

查看答案和解析>>

科目:高中数学 来源:2016届山东省枣庄市高三12月月考文科数学试卷(解析版) 题型:填空题

若直线与曲线C满足下列两个条件:(i)直线在点处与曲线C相切;(ii)曲线C在点附近位于直线的两侧,则称直线在点处“切过”曲线C,下列命题正确的是________(写出所有正确命题的编号).

①直线在点入“切过”曲线

②直线在点处“切过”曲线

③直线在点处“切过”曲线

④直线在点处“切过”曲线

查看答案和解析>>

科目:高中数学 来源:2016届福建省高三上第二次月考文科数学试卷(解析版) 题型:选择题

已知函数,则下列说法正确的为( )

A.函数的最小正周期为

B.的最大值为

C.的图象关于直线对称

D.将的图象向右平移,再向下平移个单位长度后会得到一个奇函数的图象

查看答案和解析>>

同步练习册答案