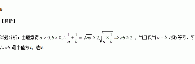
精英家教网 > 高中数学 > 题目详情

若实数a,b满足,则ab的最小值为( )

A. B.2 C.2 D.4

练习册系列答案
相关习题

科目:高中数学 来源:2014-2015学年浙江省等三校高一上学期期中考试数学试卷(解析版) 题型:填空题

函数的最大值为

查看答案和解析>>

科目:高中数学 来源:2014-2015学年广东省揭阳市高一下学期第二次段考理科数学试卷(解析版) 题型:选择题

若函数有最小值,则实数a的取值范围是 ( )

A.(0,1) B. C. D.

查看答案和解析>>

科目:高中数学 来源:2016届云南省高三适应性月考二理科数学试卷(解析版) 题型:选择题

已知三棱锥的顶点A,B,C都在半径为2的球面上,O是球心,,当△的面积之和最大时,三棱锥的体积为( )

A、 B、 C、 D、

查看答案和解析>>

科目:高中数学 来源:2016届四川省高三上学期10月段考文科数学试卷(解析版) 题型:选择题

己知命题p:使得cos x≤x,则该命题的否定是( )

A.使得cos x>x

B.使得cos x>x

C.使得cos x≥x

D.使得cos x≤x

查看答案和解析>>

科目:高中数学 来源:2016届宁夏银川一中高三上学期第三次月考文科数学试卷(解析版) 题型:选择题

若向量一定满足

A.的夹角等于

B.

C.

D.

查看答案和解析>>

科目:高中数学 来源:2016届宁夏银川一中高三上学期第三次月考理科数学试卷(解析版) 题型:选择题

已知x、y为正实数,且x,a1,a2,y成等差数列,x,b1,b2,y成等比数列,则 的取值范围是 ( )

A.R B. C. D.

查看答案和解析>>

科目:高中数学 来源:2016届湖北武汉华中师大第一附中高三上期中考试理科数学试卷(解析版) 题型:选择题

已知定义在上的奇函数满足,数列的前项和为,且,则 ( )

A. B. C. D.

查看答案和解析>>

科目:高中数学 来源:2015-2016学年内蒙古赤峰平煤高中高二上学期月考数学试卷(解析版) 题型:填空题

在区间(0,1)中随机地取出两个数,则两数之和小于的概率是________.

查看答案和解析>>

同步练习册答案