精英家教网 > 高中数学 > 题目详情

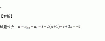
已知等差数列的通项公式则它的公差为( )

A. B.3 C.2 D.

练习册系列答案
相关习题

科目:高中数学 来源:2015-2016学年河北省高二上学期第二次月考文数学试卷(解析版) 题型:选择题

的圆心坐标和半径分别是( )

A.(1,-2),5 B.(1,-2),

C.(-1,2),5 D.(-1,2),

查看答案和解析>>

科目:高中数学 来源:2015-2016学年福建省福安市高二上学期第一次月考试数学试卷(解析版) 题型:填空题

实系数一元二次方程有两个根,一个根在区间(0,1)内,另一个根在区间(1,2)内,则的取值范围________.

查看答案和解析>>

科目:高中数学 来源:2015-2016学年甘肃天水秦安二中高二上学期第一次月考文科数学试卷(解析版) 题型:选择题

下列各数中最小的数是( )

A.111 111(2) B.210(6) C.1 000(4) D.110(8)

查看答案和解析>>

科目:高中数学 来源:2015-2016学年河北省高二上学期第一次月考试数学试卷(解析版) 题型:解答题

(12分)已知数列的前项和

(1)求数列的通项公式;

(2)设,求数列的前项和.

查看答案和解析>>

科目:高中数学 来源:2015-2016学年黑龙江省高一上学期第一阶段考数学试卷(解析版) 题型:解答题

(本小题满分12分)已知函数在区间上有最小值,记作

(Ⅰ)求的函数表达式;

(Ⅱ)求的最大值.

查看答案和解析>>

科目:高中数学 来源:2015-2016学年河南省高一10月月考数学试卷(解析版) 题型:填空题

含有三个实数的集合既可表示成,又可表示成

查看答案和解析>>

科目:高中数学 来源:2015-2016学年陕西省西安市高二10月月考文科数学试卷(解析版) 题型:选择题

Sn是等差数列{an}的前n项和,若,则=( )

A. B. C. D.

查看答案和解析>>

科目:高中数学 来源:2015-2016学年湖北省高二上学期第一次月考理科数学试卷(解析版) 题型:选择题

在空间直角坐标系中,点关于轴对称的点的坐标为( )

A. B. C. D.

查看答案和解析>>

同步练习册答案