精英家教网 > 高中数学 > 题目详情

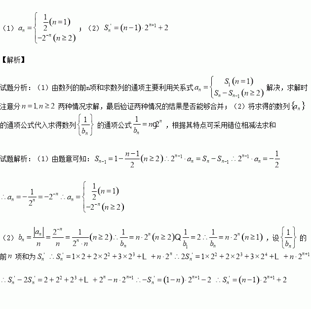
(12分)已知数列的前项和

(1)求数列的通项公式;

(2)设,求数列的前项和.

练习册系列答案
相关习题

科目:高中数学 来源:2015-2016学年河北省高二上学期第二次月考文数学试卷(解析版) 题型:解答题

《中华人民共和国道路交通安全法》规定:车辆驾驶员血液酒精浓度在20~80mg/100ml(不含80)之间,属于酒后驾车;在80mg/100ml(含80)以上时,属于醉酒驾车.某市公安局交通管理部门在某路段的一次拦查行动中,依法检查了300辆机动车,查处酒后驾车和醉酒驾车的驾驶员共20人,检测结果如下表:

(1)绘制出检测数据的频率分布直方图(在图中用实线画出矩形框即可);

(2)求检测数据中醉酒驾驶的频率,并估计检测数据中酒精含量的众数、平均数.

查看答案和解析>>

科目:高中数学 来源:2015-2016学年福建省四地六校高一上学期10月第一次联考数学试卷(解析版) 题型:填空题

已知集合A={x|-3≤x≤2},B={x|3M-1≤x≤2M+1},且AB,则实数M的取值范围是________.

查看答案和解析>>

科目:高中数学 来源:2015-2016学年甘肃天水一中高二上学期第一次段中考试理科数学试卷(解析版) 题型:选择题

的内角所对边的长分别为,若,则的形状为( )

(A)直角三角形 (B)等腰三角形

(C)等腰直角三角形 (D)等腰三角形或直角三角形

查看答案和解析>>

科目:高中数学 来源:2015-2016学年河北省高二10月月考数学试卷(解析版) 题型:解答题

(本小题满分12分)如图,渔船甲位于岛屿的南偏西60°方向的处,且与岛屿相距12海里,渔船乙以10海里/小时的速度从岛屿出发沿正北方向航行,若渔船甲同时从处出发沿北偏东的方向追赶渔船乙,刚好用追上,此时到达处.

(1)求渔船甲的速度;

(2)求的值.

查看答案和解析>>

科目:高中数学 来源:2015-2016学年河北省高二上学期第一次月考试数学试卷(解析版) 题型:选择题

已知等差数列的通项公式则它的公差为( )

A. B.3 C.2 D.

查看答案和解析>>

科目:高中数学 来源:2015-2016学年黑龙江省高一上学期第一阶段考数学试卷(解析版) 题型:填空题

是定义在上的偶函数,且当时,,则当时,

查看答案和解析>>

科目:高中数学 来源:2015-2016学年陕西省西安市高一10月月考数学试卷(解析版) 题型:选择题

函数f(x)与g(x)的对应关系如下表

x

1

2

3

g(x)

0

-1

1

则g[f(-1)]的值为( )

A.0 B.3 C.1 D.-1

查看答案和解析>>

科目:高中数学 来源:2015-2016学年湖北省高二上学期第一次月考文科数学试卷(解析版) 题型:选择题

在空间直角坐标系中,点关于轴对称的点的坐标为( )

A. B. C. D.

查看答案和解析>>

同步练习册答案