精英家教网 > 高中数学 > 题目详情

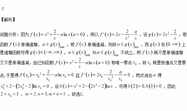
若函数有唯一零点,且为相邻整数),则的值为( )

A.1 B.3 C.5 D.7

练习册系列答案
相关习题

科目:高中数学 来源:2016届吉林省高三第八次模拟考试文科数学试卷(解析版) 题型:填空题

中随机抽取一个数记为,从中随机抽取一个数记为,则函数的图象经过第三象限的概率是_______.

查看答案和解析>>

科目:高中数学 来源:2016届山东师大附中高三下学期高考模拟文科数学试卷(解析版) 题型:填空题

中,内角的对边为,已知.

(1)求角的值;

(2)若,且的面积为,求.

查看答案和解析>>

科目:高中数学 来源:2016届湖南省高三第十一次月考理科数学试卷(解析版) 题型:解答题

已知函数.

(1)若不等式的解集为空集,求实数的取值范围;

(2)若,且,判断的大小 ,并说明理由.

查看答案和解析>>

科目:高中数学 来源:2016届湖南省高三第十一次月考理科数学试卷(解析版) 题型:解答题

如图,在中,点边上,.

(1)求的值;

(2)若,求的面积.

查看答案和解析>>

科目:高中数学 来源:2016届湖南省高三第十一次月考理科数学试卷(解析版) 题型:选择题

展开式中常数项为( )

A.252 B.-252 C.160 D.-160

查看答案和解析>>

科目:高中数学 来源:2016届黑龙江省高三下三模理科数学试卷(解析版) 题型:解答题

已知函数.

(1)求函数的最小值

(2)当时,求证:.

查看答案和解析>>

科目:高中数学 来源:2016届黑龙江省高三下三模理科数学试卷(解析版) 题型:选择题

满足约束条件:,则的最小值为( )

A.0 B.1 C.2 D.3

查看答案和解析>>

科目:高中数学 来源:2016届海南省高考模拟九理科数学试卷(解析版) 题型:填空题

设正项数列是等比数列,前项和为,若,则公比为______.

查看答案和解析>>

同步练习册答案