精英家教网 > 高中数学 > 题目详情
已知数列{an}满足:a1=1,an+an+1=4n,Sn是数列{an}的前n项和;数列{bn}前n项的积为Tn,且
(1)求数列{an},{bn}的通项公式
(2)是否存在常数a,使得{Sn-a}成等差数列?若存在,求出a,若不存在,说明理由.
(3)求数列的前n项和.
【答案】分析:(1)由题知an+an+1=4n,可得an+1+an+2=4(n+1),两式相减即得an+2-an=4,即数列{an}隔项成等差数列,分类可求;(2)先求得,假设存在a,由此展开退理得矛盾;(3)由(2)可得数列的通项公式,由裂项相消法可求和.
解答:解:(1)由题知an+an+1=4n,可得an+1+an+2=4(n+1),两式相减即得
an+2-an=4,即数列{an}隔项成等差数列
又a1=1,代入式子可得a2=3,
∴n为奇数时,;…(2分)
n为偶数时,.…(3分)
∴n∈N+,an=2n-1…(4分)
又当n=1时 
n≥2时
∴n∈N+…(6分)
(2)由(1)知an=2n-1,数列{an}成等差数列


若存在常数a,使得{Sn-a}成等差数列,则(Sn-a)+(Sn+2-a)=2(Sn+1-a)在n∈N+时恒成立
即n2-a+(n+2)2-a=2((n+1)2-a)化简得:4=2,矛盾
故常数a不存在     …(10分)
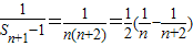
(3)由(2)知

==…(13分)
点评:本题为数列的综合应用,涉及裂项相消法求和以及分类讨论的思想,属中档题.
练习册系列答案
相关习题

科目:高中数学 来源: 题型:

已知数列{an}满足:a1=1且an+1=
3+4an
12-4an
, n∈N*

(1)若数列{bn}满足:bn=
1
an-
1
2
(n∈N*)
,试证明数列bn-1是等比数列;
(2)求数列{anbn}的前n项和Sn
(3)数列{an-bn}是否存在最大项,如果存在求出,若不存在说明理由.

查看答案和解析>>

科目:高中数学 来源: 题型:

已知数列{an}满足
1
2
a1+
1
22
a2+
1
23
a3+…+
1
2n
an=2n+1
则{an}的通项公式
 

查看答案和解析>>

科目:高中数学 来源: 题型:

已知数列{an}满足:a1=
3
2
,且an=
3nan-1
2an-1+n-1
(n≥2,n∈N*).
(1)求数列{an}的通项公式;
(2)证明:对于一切正整数n,不等式a1•a2•…an<2•n!

查看答案和解析>>

科目:高中数学 来源: 题型:

已知数列{an}满足an+1=|an-1|(n∈N*
(1)若a1=
54
,求an
(2)若a1=a∈(k,k+1),(k∈N*),求{an}的前3k项的和S3k(用k,a表示)

查看答案和解析>>

科目:高中数学 来源: 题型:

(2012•北京模拟)已知数列{an}满足an+1=an+2,且a1=1,那么它的通项公式an等于
2n-1
2n-1

查看答案和解析>>

同步练习册答案