精英家教网 > 高中数学 > 题目详情

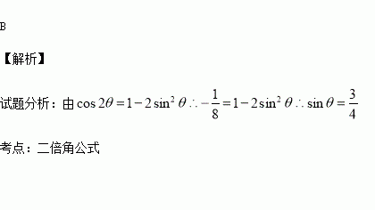
若θ∈[],cos2θ=﹣则sinθ=( )

A. B. C. D.

练习册系列答案
相关习题

科目:高中数学 来源:2016届江西省高三上学期第三次考试理科数学试卷(解析版) 题型:填空题

均为非零向量,且,则的夹角为

查看答案和解析>>

科目:高中数学 来源:2015-2016学年陕西省西安市高二上学期期中考试理科数学试卷(解析版) 题型:填空题

若正数满足,则的取值范围是

查看答案和解析>>

科目:高中数学 来源:2015-2016学年黑龙江省高二上学期期中数学试卷(解析版) 题型:选择题

已知x、y之间的一组数据如下:则线性回归方程所表示的直线必经过点

x

0

1

2

3

y

8

2

6

4

A.(1.5,5) B.(5,1.5) C.(2,5) D.(1.5,4)

查看答案和解析>>

科目:高中数学 来源:2015-2016学年广东省清远市实验学校高二上学期期中数学试卷(解析版) 题型:选择题

一个容量为1 000的样本分成若干组,已知某组的频率为0.4,则该组的频数是( )

A.400 B.40 C.4 D.600

查看答案和解析>>

科目:高中数学 来源:2015-2016学年山东省高一上学期期中模块考试数学试卷(解析版) 题型:填空题

____________.

查看答案和解析>>

科目:高中数学 来源:2015-2016学年江苏省无锡市四校高二上学期期中考试数学试卷(解析版) 题型:填空题

已知点在圆上运动.则范围是__ ____.

查看答案和解析>>

科目:高中数学 来源:2015-2016学年吉林省扶余市高二上学期期中考试文科数学试卷(解析版) 题型:选择题

△ABC中,a=3,b=,c=2,那么B等于 ( )

A.30° B.45° C.60° D.120°

查看答案和解析>>

科目:高中数学 来源:2015-2016学年重庆市高二上第一次月考理科数学试卷(解析版) 题型:选择题

已知点在曲线上,点,则的最大值为( )

A. B. C. D.

查看答案和解析>>

同步练习册答案