精英家教网 > 高中数学 > 题目详情

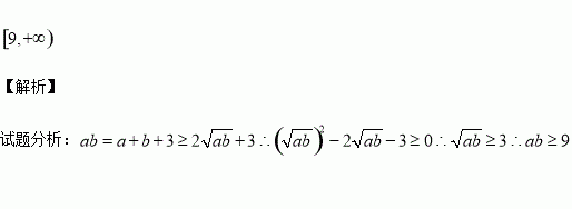
若正数满足,则的取值范围是

练习册系列答案
相关习题

科目:高中数学 来源:2015-2016学年陕西省西安市高二上学期期中考试文科数学试卷(解析版) 题型:解答题

已知数列{an}的前n项和为Sn,且向量a=(n,Sn),b=(4,n+3)共线.

(1)求证:数列{an}是等差数列;

(2)求数列的前n项和Tn.

查看答案和解析>>

科目:高中数学 来源:2015-2016学年西藏日喀则一中高二10月月考文数学试卷(解析版) 题型:选择题

设函数,曲线在点处的切线方程为,则曲线在点处切线的斜率为( )

A. B. C. D.

查看答案和解析>>

科目:高中数学 来源:2015-2016学年安徽师大附中高二上学期期中理科数学试卷(解析版) 题型:解答题

给定直线m:y=2x-16,抛物线C:y2=ax(a>0).

(1)当抛物线C的焦点在直线m上时,确定抛物线C的方程;

(2)若△ABC的三个顶点都在(1)所确定的抛物线C上,且点A的纵坐标y=8,△ABC的重心恰在抛物线C的焦点上,求直线BC的方程.

查看答案和解析>>

科目:高中数学 来源:2015-2016学年四川省实验学校高二上学期期中理科数学试卷(解析版) 题型:填空题

已知直线y=(3a﹣1)x﹣1,为使这条直线经过第一、三、四象限,则实数a的取值范围是 _________

查看答案和解析>>

科目:高中数学 来源:2015-2016学年辽宁省葫芦岛市高一上学期期中考试数学试卷(解析版) 题型:填空题

已知函数f(x)=ln(-3x)+1,则f(lg2)+f(lg)=

查看答案和解析>>

科目:高中数学 来源:2015-2016学年江西铅山一中 、横峰中学高二上学期期中理科数学卷(解析版) 题型:选择题

如果一个位十进制数的数位上的数字满足“小大小大小大”的顺序,即满足:,我们称这种数为“波浪数”;从1,2,3,4,5组成的数字不重复的五位数中任取一个五位数,这个数为“波浪数”的个数是( )

A.16 B.18 C.10 D.8

查看答案和解析>>

科目:高中数学 来源:2015-2016学年湖南省高二上学期期中文科数学试卷(解析版) 题型:选择题

若θ∈[],cos2θ=﹣则sinθ=( )

A. B. C. D.

查看答案和解析>>

科目:高中数学 来源:2015-2016学年福建省高一上学期期中考试数学试卷(解析版) 题型:解答题

(本小题满分12分)某滨海高档住宅小区给每一户业主均提供两套供水方案.方案一是供应市政自来水,每吨自来水的水费是2元;方案二是限量供应10吨海底岩层中的温泉水,若温泉水用水量不超过5吨,则按基本价每吨8元收取,超过5吨不超过8吨的部分按基本价的1.5倍收取,超过8吨不超过10吨的部分按基本价的2倍收取.

(1)试写出温泉水用水费(元)与其用水量(吨)之间的函数关系式;

(2)若业主小王缴纳10月份的物业费时发现一共用水16吨,被收取的费用为72元,那么他当月的自来水与温泉水用水量各为多少吨?

查看答案和解析>>

同步练习册答案