精英家教网 > 高中数学 > 题目详情

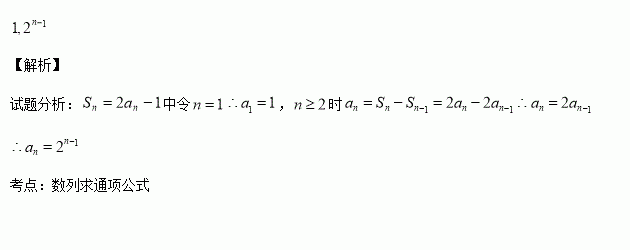
已知数列的前项和为,对任意N都有,则的值为 ,数列的通项公式

练习册系列答案
相关习题

科目:高中数学 来源:2014-2015学年河北省高二下学期第一次月考文科数学试卷(解析版) 题型:选择题

用反证法证明命题“”,其反设正确的是( )

A. B.

C. D.

查看答案和解析>>

科目:高中数学 来源:2014-2015学年广东省揭阳市高二下学期第一次段考文科数学试卷(解析版) 题型:选择题

已知命题,则( )

A.

B.

C.

D.

查看答案和解析>>

科目:高中数学 来源:2014-2015学年广东省揭阳市高二下学期第一次段考理科数学试卷(解析版) 题型:选择题

中,,则( )

A. B. C. D.以上答案都不对

查看答案和解析>>

科目:高中数学 来源:2014-2015学年广东省高一下学期第一次质检数学试卷(解析版) 题型:解答题

(本小题满分14分) 的三内角,其对边分别为,若

(Ⅰ)求

(Ⅱ)若,求的面积

查看答案和解析>>

科目:高中数学 来源:2014-2015学年广东省高一下学期第一次质检数学试卷(解析版) 题型:选择题

的三内角的对边边长分别为,若,则( )

A. B. C. D.

查看答案和解析>>

科目:高中数学 来源:2014-2015学年广东省高一下学期第一次质检数学试卷(解析版) 题型:选择题

,若,则下列不等式中正确的是( )

A. B. C. D.

查看答案和解析>>

科目:高中数学 来源:2014-2015学年广东省高二下学期第一次质检理科数学卷(解析版) 题型:选择题

抛物线:的焦点坐标是( )

A. B. C. D.

查看答案和解析>>

科目:高中数学 来源:2014-2015学年福建省高二下学期月考理科数学试卷(解析版) 题型:选择题

若对任意实数,有成立,则( )

A. B. C. D.

查看答案和解析>>

同步练习册答案