精英家教网 > 高中数学 > 题目详情
函数f(x)=1-(m≠0)
(1)判断函数f(x)的奇偶性.
(2)用定义判断函数f(x)在(0,+∞)上的单调性.
【答案】分析:(1)函数的定义域为(-∞,0)∪(0,+∞),再利用,可判断函数f(x)为偶函数;
(2)设x1>x2>0,则,对m进行讨论,可知m>0,f(x1)-f(x2)>0;m<0,f(x1)-f(x2)<0,从而可得m>0,函数f(x)在(0,+∞)上单调增;m<0,函数f(x)在(0,+∞)上单调减.
解答:解:(1)函数的定义域为(-∞,0)∪(0,+∞)

∴函数f(x)为偶函数;
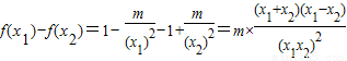
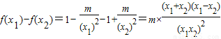
(2)设x1>x2>0,则
∵x1>x2>0,∴
∴m>0,f(x1)-f(x2)>0;m<0,f(x1)-f(x2)<0
∴m>0,函数f(x)在(0,+∞)上单调增;m<0,函数f(x)在(0,+∞)上单调减.
点评:本题以函数为载体,考查函数的奇偶性,考查函数的单调性,掌握定义是关键.
练习册系列答案
相关习题

科目:高中数学 来源: 题型:

设函数f(x)=
1-x2,x≤1
x2+x-2,x>1
f(
1
f(2)
)
的值为
 

查看答案和解析>>

科目:高中数学 来源: 题型:

已知函数f(x)=
1+alnx
x
,a∈R.
(1)若函数f(x)在x=1处取得极值,求实数a的值;
(2)在(1)条件下,若直线y=kx与函数y=f(x)的图象相切,求实数k的值;
(3)记M={y|y=f(x)},若
a
9
∈M
,求满足条件的实数a的集合.

查看答案和解析>>

科目:高中数学 来源: 题型:

(2012•绵阳二模)函数f(x)=
1
|x|
,(x<0)
lnx,(x>0)
的图象大致是(  )

查看答案和解析>>

科目:高中数学 来源: 题型:

已知函数f(x)=1-eλx(λ∈R且λ≠0).
(1)讨论f(x)的单调性;
(2)当x>-1时,f(x)≥
xx+1
恒成立,求出λ的值.

查看答案和解析>>

科目:高中数学 来源: 题型:

已知函数f(x)=1-2ax-a2x(a>0,a≠1).
(1)当a=3时,求函数f(x)的值域;
(2)当a>1时,当x∈[-2,1]时,f(x)的最小值为-7,求a的值.

查看答案和解析>>

同步练习册答案