精英家教网 > 高中数学 > 题目详情

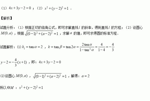
(1)过点的直线的倾斜角是直线的倾斜角倍,求直线

方程;

(2)求圆心轴上,半径为,且过点的圆的标准方程.

练习册系列答案
相关习题

科目:高中数学 来源:2015-2016新疆建设兵团二中高二下第三次月考理科数学卷(解析版) 题型:填空题

在极坐标系中,以为圆心,为半径的圆的极坐标方程为 .

查看答案和解析>>

科目:高中数学 来源:2015-2016新疆哈密地区二中高二下期末考试理科数学卷(解析版) 题型:解答题

如图,在△ABC中,BC边上的中线AD长为3,且∠ADC=-.

(1)求∠BAD的值;

(2)求AC边的长.

查看答案和解析>>

科目:高中数学 来源:2016-2017学年四川省高二上学期周考数学卷3(解析版) 题型:解答题

已知以点为圆心的圆与直线相切,过点的动直线与圆

交于两点.

(1)求圆的方程;

(2)当时,求直线的方程.

查看答案和解析>>

科目:高中数学 来源:2016-2017学年四川省高二上学期周考数学卷3(解析版) 题型:选择题

直线与圆的位置关系是( )

A.相离 B.相交 C.相切 D.不确定

查看答案和解析>>

科目:高中数学 来源:2016-2017学年四川省高二上学期周考数学卷2(解析版) 题型:选择题

已知直线过点且与点等距离,则直线的方程为( )

A. B.

C. D.

查看答案和解析>>

科目:高中数学 来源:2016-2017学年四川省高二上小班周考数学试卷3(解析版) 题型:填空题

若圆的周长被直线分为1:3两部分,则的值是_________.

查看答案和解析>>

科目:高中数学 来源:2016-2017学年四川省高二上小班周考数学试卷2(解析版) 题型:选择题

若实数满足的取值范围为( )

A. B. C. D.

查看答案和解析>>

科目:高中数学 来源:2017届河北省高三上学期周考文科数学卷(解析版) 题型:填空题

函数的定义域是 ,单调递减区间是 .

查看答案和解析>>

同步练习册答案