精英家教网 > 高中数学 > 题目详情

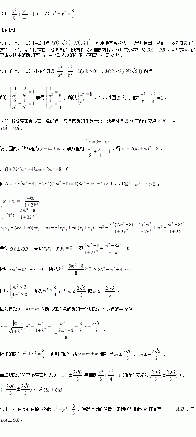
设椭圆两点,为坐标原点.

(1)求椭圆的方程;

(2)是否存在圆心在原点的圆,使得该圆的任意一条切线与椭圆恒有两个交点,且?若存在,写出该圆的方程,若不存在说明理由.

练习册系列答案
相关习题

科目:高中数学 来源:2015-2016学年贵州贵阳六中高二下期中理科数学试卷(解析版) 题型:选择题

用数学归纳法证明过程中,由递推到时,不等式左边增加的项为( )

A. B. C. D.

查看答案和解析>>

科目:高中数学 来源:2015-2016学年四川绵阳南山中学高二下期中文科数学卷(解析版) 题型:选择题

已知实数满足,则代数式有( )

A.最小值和最大值1 B.最小值1

C.最小值和最大值 D.最小值和最大值1

查看答案和解析>>

科目:高中数学 来源:2015-2016学年四川绵阳南山中学高二下期中理科数学卷(解析版) 题型:选择题

设函数是奇函数的导函数,时,,则使得成立的的取值范围是( )

A. B. C. D.

查看答案和解析>>

科目:高中数学 来源:2015-2016学年四川绵阳南山中学高二下期中理科数学卷(解析版) 题型:选择题

已知的大小关系是( )

A. B. C. D.不确定

查看答案和解析>>

科目:高中数学 来源:2015-2016学年福建省高二下周练文科数学试卷(解析版) 题型:解答题

求适合下列条件的标准方程:

(1)焦点在轴上,与椭圆具有相同的离心率且过点的椭圆的标准方程;

(2)焦点在轴上,顶点间的距离为,渐近线方程为的双曲线的标准方程.

查看答案和解析>>

科目:高中数学 来源:2015-2016学年福建省高二下周练文科数学试卷(解析版) 题型:选择题

已知函数的图像与直线交于点,若图像在点处的切线与轴交点的横坐标为,则的值为( )

A. B.

C. D.

查看答案和解析>>

科目:高中数学 来源:2015-2016学年山东省高一下期中数学试卷(解析版) 题型:填空题

= .

查看答案和解析>>

科目:高中数学 来源:2015-2016学年安徽六安一中高一下周末统测十二数学试卷(解析版) 题型:解答题

已知函数.

(1)写出函数的单调递减区间;

(2)设的最小值是,最大值是,求实数的值.

查看答案和解析>>

同步练习册答案