精英家教网 > 高中数学 > 题目详情

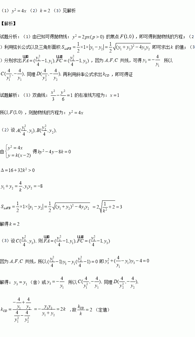
已知抛物线:的焦点在双曲线:的右准线上,抛物线与直线交于两点,的延长线与抛物线交于两点.

(1)求抛物线的方程;

(2)若的面积等于,求的值;

(3)记直线的斜率为,证明:为定值,并求出该定值.

练习册系列答案
相关习题

科目:高中数学 来源:2015-2016学年福建省高二下期中理科数学试卷(解析版) 题型:解答题

厦门一中高二年级数学兴趣小组中的甲乙两位同学独立解某一道数学题,已知该题被甲独立解出的概率为0.6,被甲或乙(即至少一人)解出的概率为0.92.

(I)求该题被乙独立解出的概率;

(II)求解出该题的人数的分布列.

查看答案和解析>>

科目:高中数学 来源:2015-2016学年陕西省西安市高二下期中数学试卷(解析版) 题型:选择题

已知的值等于

A. B. C. D.

查看答案和解析>>

科目:高中数学 来源:2016届陕西西北工大附中高三下第六次训练文数学卷(解析版) 题型:选择题

某企业生产甲乙两种产品均需用A,B两种原料,已知生产1吨每种产品需原料及每天原料的可用限额如表所示,如果生产1吨甲、乙产品可获利润分别为3万元、4万元,则该企业每天可获得最大利润为

A.12万元 B.16万元 C.17万元 D.18万元

查看答案和解析>>

科目:高中数学 来源:2016届陕西西北工大附中高三下第六次训练文数学卷(解析版) 题型:选择题

已知复数满足,则

A. B. C. D.

查看答案和解析>>

科目:高中数学 来源:2016届陕西西北工大附中高三下第六次训练理数学卷(解析版) 题型:填空题

如图,点的坐标为,点 的坐标为,函数,若在矩形 内随机取一点,则此点取自阴影部分的概率等于 .

查看答案和解析>>

科目:高中数学 来源:2016届陕西西北工大附中高三下第六次训练理数学卷(解析版) 题型:选择题

某企业生产甲乙两种产品均需用A,B两种原料,已知生产1吨每种产品需原料及每天原料的可用限额如表所示,如果生产1吨甲、乙产品可获利润分别为3万元、4万元,则该企业每天可获得最大利润为( )

A.12万元 B.16万元 C.17万元 D.18万元

查看答案和解析>>

科目:高中数学 来源:2015-2016学年天津市等六校高一上期末数学试卷(解析版) 题型:填空题

已知,,那么= .

查看答案和解析>>

科目:高中数学 来源:2015-2016学年上海市高二上学期期末考试数学试卷(解析版) 题型:选择题

与双曲线有共同的渐近线,且过点(2,2)的双曲线标准方程为( )

A. B. C. D.

查看答案和解析>>

同步练习册答案