精英家教网 > 高中数学 > 题目详情

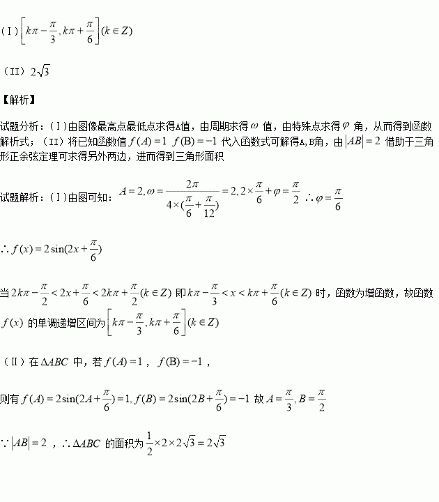
(满分12分)已知函数的一部分图像如右图所示,(其中).

(Ⅰ)求函数的解析式并求函数的单调递增区间;

(II)在中,若,,求的面积.

练习册系列答案
相关习题

科目:高中数学 来源:2014-2015学年浙江省嵊州市高二下期末检测文科数学B卷(解析版) 题型:填空题

若直线与圆C:相切,则直线的斜率为 ,实数的值为

查看答案和解析>>

科目:高中数学 来源:2014-2015学年山西省高二上学期第一次月考数学试卷(解析版) 题型:选择题

如图为某几何体的三视图,根据三视图可以判断这个几何体为( )

A.圆锥 B.三棱锥

C.三棱柱 D.三棱台

查看答案和解析>>

科目:高中数学 来源:2014-2015学年湖北武汉一中等重点中学高一下学期期中理科数学试卷(解析版) 题型:选择题

符合下列条件的三角形有且只有一个的是( )

A. B.

C. D.

查看答案和解析>>

科目:高中数学 来源:2014-2015学年贵州省高二上学期期中理科数学试卷(解析版) 题型:解答题

(12分))在平面直角坐标系xOy中,点P(a,b)(a>b>0)为动点,F1、F2分别为椭圆=1的左、右焦点.已知△F1PF2为等腰三角形.

(1)求椭圆的离心率e;

(2)设直线PF2与椭圆相交于A,B两点,M是直线PF2上的点,满足=-2,求点M的轨迹方程.

查看答案和解析>>

科目:高中数学 来源:2014-2015学年北京市西城区高一下学期期末考试数学试卷(解析版) 题型:选择题

从1,2,3,4这四个数中一次随机选取两个数,所取两个数之和为5的概率是( )

A. B. C. D.

查看答案和解析>>

科目:高中数学 来源:2016届西藏日喀则一中高三10月检测理科数学试卷(解析版) 题型:解答题

(本小题满分10分)选修4—5:不等式选讲

(1)求的解集;

(2)若不等式对任意实数恒成立,求实数的取值范围.

查看答案和解析>>

科目:高中数学 来源:2015-2016学年山西康杰中学高一上学期期中考试数学试卷(解析版) 题型:解答题

(本题满分12分)已知函数

(1)若是奇函数,求的值;

(2)在(1)的条件下,求不等式的解集

查看答案和解析>>

科目:高中数学 来源:2015-2016学年广西桂林中学高二上期中考试理科数学试卷(解析版) 题型:选择题

命题“若,则”的否命题是( )

A.若,则

B.若,则

C.若,则

D.若x=3或x=2,则

查看答案和解析>>

同步练习册答案