精英家教网 > 高中数学 > 题目详情

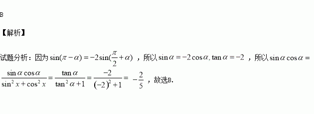
已知,则( )

A. B. C. D.

练习册系列答案
相关习题

科目:高中数学 来源:2016-2017学年河北武邑中学高一上周考9.4数学试卷(解析版) 题型:填空题

已知,则当________时,直线的倾斜角为直角.

查看答案和解析>>

科目:高中数学 来源:2017届河北武邑中学高三上学期周考9.4数学(文)试卷(解析版) 题型:解答题

已知定义域为的函数是奇函数.

(1)求的值;

(2)解关于的不等式.

查看答案和解析>>

科目:高中数学 来源:2017届河北武邑中学高三上学期周考9.4数学(理)试卷(解析版) 题型:解答题

已知的三个内角的对边分别为,若成等差数列,且,求角的大小,并判断的形状.

查看答案和解析>>

科目:高中数学 来源:2017届河北武邑中学高三上学期周考9.4数学(理)试卷(解析版) 题型:选择题

已知是方程的两个根,则的关系是( )

A. B.

C. D.

查看答案和解析>>

科目:高中数学 来源:2017届湖北武汉市高三上学期起点考试数学(理)试卷(解析版) 题型:解答题

如图,已知椭圆的左、右焦点分别为,过点分别作两条平行直线交椭圆于点

(1)求证:

(2)求四边形面积的最大值.

查看答案和解析>>

科目:高中数学 来源:2017届湖北武汉市高三上学期起点考试数学(理)试卷(解析版) 题型:填空题

曲线在点处的切线方程为

查看答案和解析>>

科目:高中数学 来源:2017届河北武邑中学高三上学期第一次调研数学(文)试卷(解析版) 题型:解答题

已知函数的值域为,求的值.

查看答案和解析>>

科目:高中数学 来源:2017届安徽六安一中高三上学期开学考试数学(文)试卷(解析版) 题型:解答题

.

(1)令,求的单调区间;

(2)已知处取得极大值.求实数的取值范围.

查看答案和解析>>

同步练习册答案