精英家教网 > 高中数学 > 题目详情

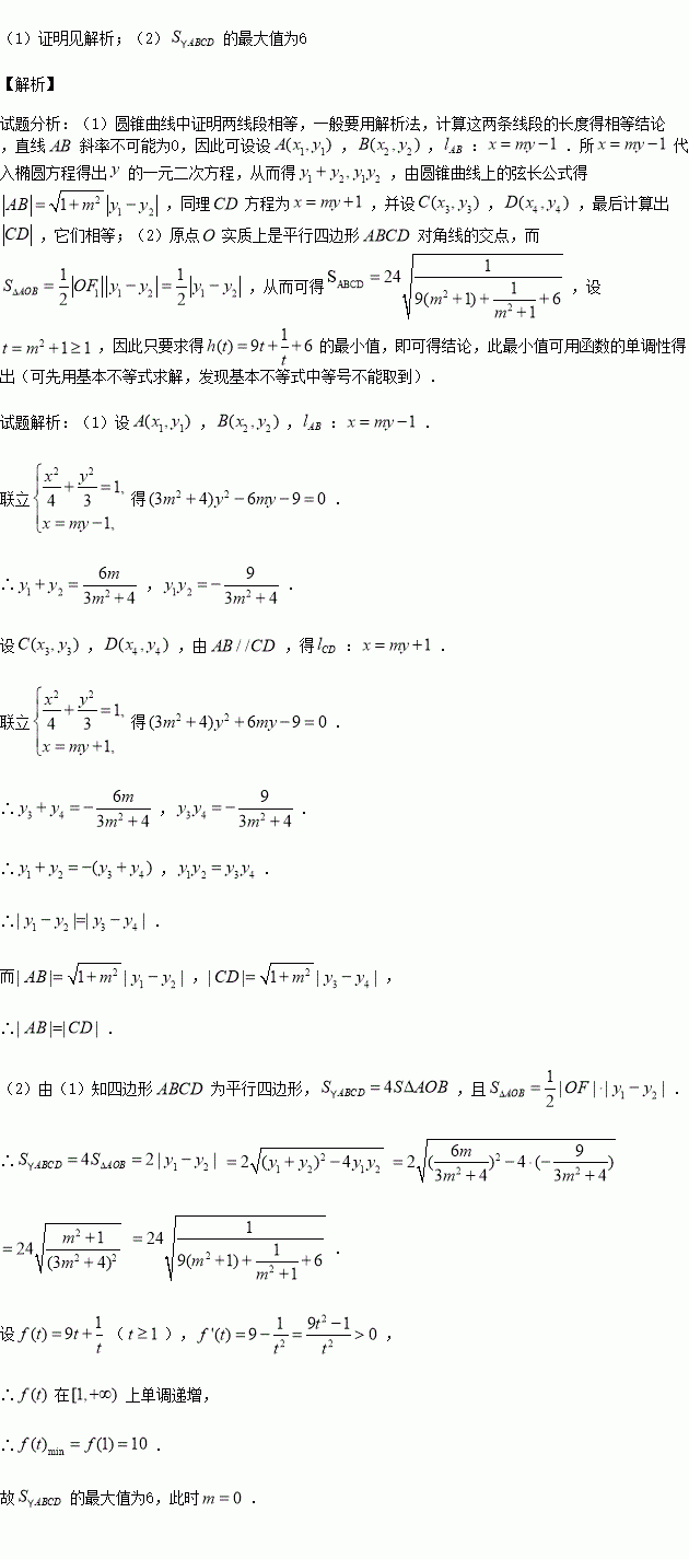
如图,已知椭圆的左、右焦点分别为,过点分别作两条平行直线交椭圆于点

(1)求证:

(2)求四边形面积的最大值.

练习册系列答案
相关习题

科目:高中数学 来源:2016-2017学年河北武邑中学高一上周考9.4数学试卷(解析版) 题型:选择题

下列三视图表示的几何体是( )

A.圆台 B.棱锥 C.圆锥 D.圆柱

查看答案和解析>>

科目:高中数学 来源:2017届河北武邑中学高三上学期周考9.4数学(文)试卷(解析版) 题型:填空题

已知函数,满足对任意,都有成立,则的取值范围是 .

查看答案和解析>>

科目:高中数学 来源:2017届河北武邑中学高三上学期周考9.4数学(理)试卷(解析版) 题型:填空题

已知角的终边经过点,且,则的值为 .

查看答案和解析>>

科目:高中数学 来源:2017届河北武邑中学高三上学期周考9.4数学(理)试卷(解析版) 题型:选择题

已知,则( )

A. B. C. D.

查看答案和解析>>

科目:高中数学 来源:2017届湖北武汉市高三上学期起点考试数学(理)试卷(解析版) 题型:填空题

已知有2个零点,则实数的取值范围是

查看答案和解析>>

科目:高中数学 来源:2017届湖北武汉市高三上学期起点考试数学(理)试卷(解析版) 题型:选择题

计算可采用如图所示的算法,则图中①处应填的语句是( )

A. B. C. D.

查看答案和解析>>

科目:高中数学 来源:2017届河北武邑中学高三上学期第一次调研数学(文)试卷(解析版) 题型:填空题

已知函数的值域为,则的和为

查看答案和解析>>

科目:高中数学 来源:2017届安徽六安一中高三上学期开学考试数学(文)试卷(解析版) 题型:解答题

设数列满足.

(1)求数列的通项公式;

(2)若数列,求数列的前项和.

查看答案和解析>>

同步练习册答案