精英家教网 > 高中数学 > 题目详情

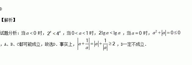
为实数,则下列不等式一定不成立的是( )

A. B. C. D.

练习册系列答案
相关习题

科目:高中数学 来源:2015-2016学年宁夏石嘴山三中高二下期中文科数学试卷(解析版) 题型:填空题

命题,使的否定是 .

查看答案和解析>>

科目:高中数学 来源:2015-2016学年广东省高一下期中数学试卷(解析版) 题型:解答题

如图所示,在中,D为边的中点,, 其中交于点,延长交边点,则

查看答案和解析>>

科目:高中数学 来源:2015-2016学年重庆一中高一下学期期中数学试卷(解析版) 题型:解答题

已知函数是偶函数.

(1)求的值;

(2)若函数的图象与的图象有且只有一个公共点,求的取值范围.

查看答案和解析>>

科目:高中数学 来源:2015-2016学年重庆一中高一下学期期中数学试卷(解析版) 题型:填空题

中,,则的面积为__________.

查看答案和解析>>

科目:高中数学 来源:2015-2016学年重庆一中高一下学期期中数学试卷(解析版) 题型:选择题

运行如下的程序框图,输出的值为( )

A.4 B.3 C.2 D.1

查看答案和解析>>

科目:高中数学 来源:2015-2016学年重庆巴蜀中学高二下期中文科数学试卷(解析版) 题型:解答题

已知函数,曲线在点处的切线平行于轴.

(1)求的单调区间;

(2)证明:当时,恒成立.

查看答案和解析>>

科目:高中数学 来源:2015-2016学年重庆巴蜀中学高二下期中文科数学试卷(解析版) 题型:选择题

已知函数,若,则( )

A. B. C. D.

查看答案和解析>>

科目:高中数学 来源:2015-2016学年福建上杭一中高二下培优补差理科数学试卷(解析版) 题型:选择题

除以9所得余数是( )

A.0 B.8 C.-1 D.1

查看答案和解析>>

同步练习册答案