精英家教网 > 高中数学 > 题目详情
若△ABC满足sinA=2sinC•cosB,则△ABC是( )
A.等腰三角形
B.直角三角形
C.等腰直角三角形
D.任意三角形
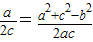
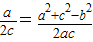
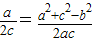
【答案】分析:由正弦定理可得cosB=,再由余弦定理可得  cosB=,由
化简可得 b2=c2,故△ABC是等腰三角形.
解答:解:△ABC满足sinA=2sinC•cosB,由正弦定理可得 a=2c•cosB,∴cosB=
再由余弦定理可得  cosB=,∴,化简可得 b2=c2
故有b=c,故选A.
点评:本题考查正弦定理、余弦定理的应用,得到 ,是解题的关键.
练习册系列答案
相关习题

科目:高中数学 来源: 题型:阅读理解

(2012•福建模拟)阅读下面材料:
根据两角和与差的正弦公式,有sin(α+β)=sinαcosβ+cosαsinβ------①
sin(α-β)=sinαcosβ-cosαsinβ------②
由①+②得sin(α+β)+sin(α-β)=2sinαcosβ------③
令α+β=A,α-β=B有α=
A+B
2
,β=
A-B
2

代入③得 sinA+sinB=2sin
A+B
2
cos
A-B
2

(Ⅰ)类比上述推证方法,根据两角和与差的余弦公式,证明:cosA-cosB=-2sin
A+B
2
sin
A-B
2

(Ⅱ)若△ABC的三个内角A,B,C满足cos2A-cos2B=2sin2C,试判断△ABC的形状.
(提示:如果需要,也可以直接利用阅读材料及(Ⅰ)中的结论)

查看答案和解析>>

科目:高中数学 来源: 题型:

(2012•江门一模)已知函数f(x)=sin(ωx+
π
3
)-
3
cos(ωx+
π
3
)(ω>0)的最小正周期为π.
(1)求f(
12
)的值;
(2)若△ABC满足f(C)+f(B-A)=2f(A),证明:△ABC是直角三角形.

查看答案和解析>>

科目:高中数学 来源: 题型:

平面直角坐标系中,△ABC满足
AB
=(-
3
sinθ,sinθ)
AC
=(cosθ,sinθ)

(Ⅰ)若BC边长等于1,求θ的值(只需写出(0,2π)内的θ值);
(Ⅱ)若θ恰好等于内角A,求此时内角A的大小.

查看答案和解析>>

科目:高中数学 来源: 题型:解答题

已知函数f(x)=sin(ωx+数学公式)-数学公式cos(ωx+数学公式)(ω>0)的最小正周期为π.
(1)求f(数学公式)的值;
(2)若△ABC满足f(C)+f(B-A)=2f(A),证明:△ABC是直角三角形.

查看答案和解析>>

科目:高中数学 来源:2012年广东省江门市高考数学一模试卷(理科)(解析版) 题型:解答题

已知函数f(x)=sin(ωx+)-cos(ωx+)(ω>0)的最小正周期为π.
(1)求f()的值;
(2)若△ABC满足f(C)+f(B-A)=2f(A),证明:△ABC是直角三角形.

查看答案和解析>>

同步练习册答案