精英家教网 > 高中数学 > 题目详情

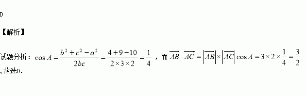
在△ABC中,AB=3,AC=2,BC=,则等于( )

A.- B.- C. D.

练习册系列答案
相关习题

科目:高中数学 来源:2015-2016学年广东省高一下第一次月考数学试卷(解析版) 题型:填空题

垂直于x轴的直线l被圆x2+y2-4x-5=0截得的弦长为2,则l的方程为______ __.

查看答案和解析>>

科目:高中数学 来源:2015-2016学年重庆市高一4月月考数学试卷(解析版) 题型:解答题

已知向量,且.

(Ⅰ)求的单调递增区间;

(Ⅱ)若函数在区间上有零点,求的取值范围.

查看答案和解析>>

科目:高中数学 来源:2015-2016学年重庆市高一4月月考数学试卷(解析版) 题型:选择题

在等差数列中,,则公差等于( )

A. B.0 C. D.

查看答案和解析>>

科目:高中数学 来源:2015-2016学年青海西宁四中高一下第一次月考数学试卷(解析版) 题型:解答题

已知在等比数列中,,且的等差中项.

(Ⅰ)求数列的通项公式;

(Ⅱ)若数列满足,求的前项和

查看答案和解析>>

科目:高中数学 来源:2015-2016学年青海西宁四中高一下第一次月考数学试卷(解析版) 题型:选择题

已知的内角的对边分别为,则=( )

A. B. C. D.

查看答案和解析>>

科目:高中数学 来源:2015-2016学年河北冀州中学高一下首次月考理科数学卷(解析版) 题型:解答题

已知.

(1)若方程有三个解,试求实数的取值范围;

(2)是否存在实数,使函数的定义域与值域均为?若存在,求出所有的区间,若不存在,说明理由.

查看答案和解析>>

科目:高中数学 来源:2015-2016学年河北冀州中学高一下首次月考理科数学卷(解析版) 题型:选择题

已知方程的一个实根在区间内,另一个实根大于2,则实数的取值范围是()

A. B. C. D.

查看答案和解析>>

科目:高中数学 来源:2016届云南省高三适应性月考八文科数学试卷(解析版) 题型:填空题

中,角的对边分别为,若,则的面积是 .

查看答案和解析>>

同步练习册答案