精英家教网 > 高中数学 > 题目详情

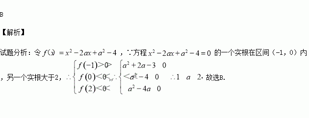
已知方程的一个实根在区间内,另一个实根大于2,则实数的取值范围是()

A. B. C. D.

练习册系列答案
相关习题

科目:高中数学 来源:2015-2016学年福建省四地六校高一下学期第一次联考数学试卷(解析版) 题型:选择题

如图,记长方体被平行于棱的平面截去右上部分后剩下的几何体为Ω,则下列结论中不正确的是( )

A. B.四边形是平行四边形

C.Ω是棱柱 D.Ω是棱台

查看答案和解析>>

科目:高中数学 来源:2015-2016学年青海西宁四中高一下第一次月考数学试卷(解析版) 题型:选择题

在△ABC中,AB=3,AC=2,BC=,则等于( )

A.- B.- C. D.

查看答案和解析>>

科目:高中数学 来源:2015-2016学年河北冀州中学高一下首次月考理科数学卷(解析版) 题型:解答题

已知,求的值.

查看答案和解析>>

科目:高中数学 来源:2015-2016学年河北冀州中学高一下首次月考理科数学卷(解析版) 题型:选择题

已知函数,则函数的零点个数为()

A.1个 B.2个 C.3个 D.4个

查看答案和解析>>

科目:高中数学 来源:2015-2016学年河北冀州中学高一下首次月考理科数学卷(解析版) 题型:选择题

将函数的图象向左平移单位后,得到的图象的函数解析式为()

A. B. C. D.

查看答案和解析>>

科目:高中数学 来源:2016届江西省九江市高三下学期三模理科数学试卷(解析版) 题型:解答题

已知函数.

(1)是否存在及过原点的直线,使得直线与曲线均相切?若存在,求值及直线方程;若不存在,请说明理由;

(2)若函数在区间上是单调函数,求的取值范围.

查看答案和解析>>

科目:高中数学 来源:2016届江西省九江市高三下学期三模理科数学试卷(解析版) 题型:选择题

已知直线经过圆的圆心,且坐标原点到直线的距离为,则直线的方程为( )

A. B.

C. D.

查看答案和解析>>

科目:高中数学 来源:2016届云南省高三适应性月考八理科数学试卷(解析版) 题型:选择题

已知函数,则的取值范围是( )

A. B. C. D.

查看答案和解析>>

同步练习册答案