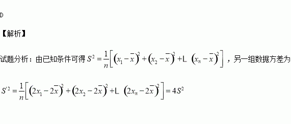
已知一组数据X1,X2,X3,…,Xn的方差是S2,那么另一组数据2X1-1,2X2-1,2X3-1,…,2Xn-1
的方差是( )
A.
B.
C.
D.![]()
科目:高中数学 来源:2015-2016学年湖南省高二上学期期中考试理科数学试卷(解析版) 题型:选择题
若抛物线y2=2px的焦点与椭圆
的右焦点重合,则p的值为( )
A.4 B.1 C.2 D.8
查看答案和解析>>
科目:高中数学 来源:2015-2016学年江西省赣州市十三县高二上期中联考理科数学试卷(解析版) 题型:选择题
已知
则下列结论中不正确的是( )
A.将函数
的图象向右平移
个单位后得到函数
的图象;
B
.函数
的最大值为
;
C.函数
的图象关于
对
称;
D.函数
的最小正周期为
.
查看答案和解析>>
科目:高中数学 来源:2015-2016学年湖南省高一上学期期中考试数学试卷(解析版) 题型:选择题
已知f(
x-1)=2x+3,f(0)= ( )
A.3 B. 1 C. 7 D.-2
查看答案和解析>>
科目:高中数学 来源:2015-2016学年湖北省宜昌市高二上期中理科数学试卷(解析版) 题型:选择题
M(x0,y0)为圆x2+y2=a2(a>0)
内异于圆心的一点,则直线x0x+y0y=a2与该圆的位置关系是( )
A、相切 B、相交 C、相离 D、相切或相交
查看答案和解析>>
科目:高中数学 来源:2015-2016学年河北省邢台市高二上第一次月考数学试卷(解析版) 题型:选择题
下列命题中正确的个数是( )
(1)空间中如果两个角的两边分别对应平行,那么这两个角相等
(2)若直线
与平面
平行,则直线
与平面
内的直线平行或异面
(3)夹在两个平行平面间的平行线段相等
(4)垂直于同一条直线的两条直线平行
A.0 B.1 C.2 D.3
查看答案和解析>>
科目:高中数学 来源:2016届重庆市高三上学期第三次月考理科数学试卷(解析版) 题型:解答题
(本小题满分12分)设函数
,其中
.
(1)讨论
极值点的个数;
(2)设
,函数
,若
,
(
)满足
且
,证明:
.
查看答案和解析>>
科目:高中数学 来源:2016届黑龙江省牡丹江市高三上学期期中理科数学试卷(解析版) 题型:解答题
(本小题满分12分)已知数列
的前
项和为
,
,
,
.
(Ⅰ) 求证:数列
是等比数列;
(Ⅱ) 设数列
的前
项和为
,
,点
在直线
上,若不等式
对于
恒成立,求实数
的最大值。
查看答案和解析>>
湖北省互联网违法和不良信息举报平台 | 网上有害信息举报专区 | 电信诈骗举报专区 | 涉历史虚无主义有害信息举报专区 | 涉企侵权举报专区
违法和不良信息举报电话:027-86699610 举报邮箱:58377363@163.com