为了参加师大附中第23届田径运动会的开幕式,高三年级某6个班联合到集市购买了6根竹竿,作为班旗的旗杆之用,它们的长度分别为3.8,4.3,3.6,4.5,4.0,4.1(单位:米).
(Ⅰ)若从中随机抽取两根竹竿,求长度之差不超过0.5米的概率;
(Ⅱ)若长度不小于4米的竹竿价格为每根10元,长度小于4米的竹竿价格为每根a元.从这6根竹竿中随机抽取两根,若期望这两根竹竿的价格之和为18元,求a的值.
【答案】
分析:(Ⅰ)由题意知,本题是一个古典概型,6根竹竿的长度从小到大依次为3.6,3.8,4.0,4.1,4.3,4.5,满足条件的事件是其中长度之差不超过0.5米的两根竹竿,先做出它的对立事件的概率,用1减去得到结果.
(Ⅱ)由题意知任取两根竹竿的价格之和为ξ,则ξ的可能取值为2a,a+10,20.结合变量对应的事件写出分布列和期望,根据期望这两根竹竿的价格之和为18元,列出关于a的方程,解方程即可.
解答:解:(Ⅰ)由题意知,本题是一个古典概型,
∵6根竹竿的长度从小到大依次为3.6,3.8,4.0,4.1,4.3,4.5,
其中长度之差超过0.5米的两根竹竿长可能是3.6和4.3,3.6和4.5,3.8和4.5.
设“抽取两根竹竿的长度之差不超过0.5米”为事件A,
则

,
∴

.
∴所求的概率为

.
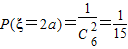
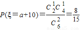
(Ⅱ)设任取两根竹竿的价格之和为ξ,则ξ的可能取值为2a,a+10,20.
其中

,

,

.
∴

.
∵

,
∴a=7.
点评:本题考查古典概型,考查对立事件的概率,考查离散型随机变量的分布列和期望,考查的不是求期望,而是利用期望的值求式子中出现的一个变量,利用解方程的思想.