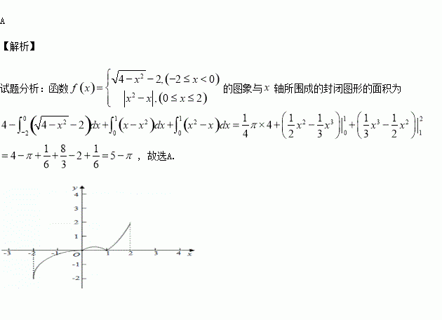
精英家教网 > 高中数学 > 题目详情

函数的图象与轴所围成的封闭图形的面积为( )

A. B. C. D.

练习册系列答案
相关习题

科目:高中数学 来源:2015-2016学年河北省高一下第一次月考数学试卷(解析版) 题型:选择题

已知无穷等差数列,前项和 中,,且,则( )

A.在数列最大; B.在数列中,最大;

C.前三项之和必与前项之和相等; D.当时,.

查看答案和解析>>

科目:高中数学 来源:2015-2016学年湖南常德石门一中高一下第一次月考数学卷(解析版) 题型:选择题

记集合,集合表示的平面区域分别为.若在区域内任取一点,则点落在区域中的概率为( )

A. B. C. D.

查看答案和解析>>

科目:高中数学 来源:2016届安徽省高三下组卷三理科数学试卷(解析版) 题型:解答题

2011年,国际数学协会正式宣布,将每年的3月14日设为国际数学节,来源是中国古代数学家祖冲之的圆周率.为庆祝该节日,某校举办的数学嘉年华活动中,设计了如下有奖闯关游戏:参赛选手按第一关、第二关、第三关顺序依次闯关,若闯关成功,分别获得5个、10个、20个学豆的奖励.游戏还规定,当选手闯过一关后,可以选择带走相应的学豆,结束游戏;也可能选择继续闯下一关,若有任何一关没有闯关成功,则全部学豆归零,游戏结束设选手甲能闯过第一关、第二关、第三关的概率分别为,选手选择继续闯关的概率均为,且各关之间闯关成功与否互不影响.

(1)求选手甲第一关闯关成功且所得学豆为零的概率;

(2)设该选手所得学豆总数为,求的分布列与数学期望.

查看答案和解析>>

科目:高中数学 来源:2016届安徽省高三下组卷三理科数学试卷(解析版) 题型:选择题

设等差数列满足:,公差.若当且仅当时,数列的前项和取得最大值,则首项的取值范围是( )

A. B.

C. D.

查看答案和解析>>

科目:高中数学 来源:2016届安徽省高三下组卷三理科数学试卷(解析版) 题型:选择题

是虚数单位,若复数满足,则复数的模( )

A.-1 B.1 C. D.2

查看答案和解析>>

科目:高中数学 来源:2015-2016学年安徽省高二下期中文科数学试卷(解析版) 题型:解答题

已知函数,对,都有成立,记集合.

(1)当时,求

(2)设命题,若为真命题,求实数的取值范围.

查看答案和解析>>

科目:高中数学 来源:2016届福建省高三最后一卷文科数学试卷(解析版) 题型:解答题

已知函数,若,使得不等式成立.

(1)求实数的取值范围;

(2)若,是否存在使得成立,若存在,求出的值,若不存在,请说明理由.

查看答案和解析>>

科目:高中数学 来源:2016届福建省高三最后一卷理科数学试卷(解析版) 题型:选择题

已知定义在上的函数为偶函数.记,则的大小关系为( )

A. B. C. D.

查看答案和解析>>

同步练习册答案