精英家教网 > 高中数学 > 题目详情

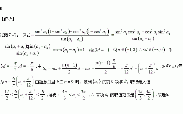
设等差数列满足:,公差.若当且仅当时,数列的前项和取得最大值,则首项的取值范围是( )

A. B.

C. D.

练习册系列答案
相关习题

科目:高中数学 来源:2015-2016学年河北省高一下第一次月考数学试卷(解析版) 题型:填空题

等差数列中,已知,(其中为常数),则其前项和_______________.

查看答案和解析>>

科目:高中数学 来源:2015-2016学年湖南常德石门一中高一下第一次月考数学卷(解析版) 题型:解答题

某城市的电话号码(首位可以为) 是位数,如果从电话号码本中任指一个电话号码,求:

(1)头两位数码都是的概率;

(2)头两位数码至少有一个不超过的概率.

查看答案和解析>>

科目:高中数学 来源:2016届安徽省高三下组卷三理科数学试卷(解析版) 题型:解答题

选修4-5:不等式选讲

设函数

(1)当时,求不等式的解集;

(2)若对任意,不等式的解集为空集,求实数的取值范围.

查看答案和解析>>

科目:高中数学 来源:2016届安徽省高三下组卷三理科数学试卷(解析版) 题型:解答题

如图,是直角三角形斜边上一点,

(1)若,求

(2)若,且,求

查看答案和解析>>

科目:高中数学 来源:2016届安徽省高三下组卷三理科数学试卷(解析版) 题型:选择题

函数的图象与轴所围成的封闭图形的面积为( )

A. B. C. D.

查看答案和解析>>

科目:高中数学 来源:2015-2016学年安徽省高二下期中文科数学试卷(解析版) 题型:解答题

设函数 .

(1)用含的式子表示

(2),其图象上任意—点处切线的斜率恒成 立,求实数的取值范围;

(3)若试求在区间上的最大值.

查看答案和解析>>

科目:高中数学 来源:2015-2016学年安徽省高二下期中文科数学试卷(解析版) 题型:选择题

给出两个命题﹕命题:命题“存在” 的否定是“任意” ;命题:函数是奇函数,则下列命题是真命题的是( )

A. B. C. D.

查看答案和解析>>

科目:高中数学 来源:2016届福建省高三最后一卷理科数学试卷(解析版) 题型:选择题

在平面直角坐标系中,双曲线与圆相切,,若圆上存在一点满足,则点轴的距离为( )

A. B. C. D.

查看答案和解析>>

同步练习册答案