精英家教网 > 高中数学 > 题目详情
已知a>0,b>0,a、b的等差中项等于,设,则x+y的最小值等于( )
A.
B.5
C.
D.6
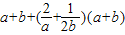
【答案】分析:先由等差中项求得a+b,再将x+y=a+b+配凑成的形式,最后构造基本不等式求解即得.
解答:解:∵a>0,b>0,a,b的等差中项是
∴a+b=1
又∵x+y=a+b+=a+b+
当a=2b时,m+n取得最小值
故选C.
点评:本题主要通过数列知识来考查基本不等式求最值.注意到配凑法的应用.
练习册系列答案
相关习题

科目:高中数学 来源: 题型:

已知a>0,b>0,且ab=1,α=a+
4
a
,β=b+
4
b
,则α+β的最小值为(  )

查看答案和解析>>

科目:高中数学 来源: 题型:

(1)在平面直角坐标系xOy中,判断曲线C:
x=2cosθ
y=sinθ
(θ为参数)与直线l:
x=1+2t
y=1-t
(t为参数)是否有公共点,并证明你的结论.
(2)已知a>0,b>0,a+b=1,求证:
1
2a+1
+
4
2b+1
9
4

查看答案和解析>>

科目:高中数学 来源: 题型:

(2013•松江区二模)已知双曲线C的中心在原点,D(1,0)是它的一个顶点,
d
=(1,
2
)
是它的一条渐近线的一个方向向量.
(1)求双曲线C的方程;
(2)若过点(-3,0)任意作一条直线与双曲线C交于A,B两点 (A,B都不同于点D),求证:
DA
DB
为定值;
(3)对于双曲线Γ:
x2
a2
-
y2
b2
=1(a>0,b>0,a≠b)
,E为它的右顶点,M,N为双曲线Γ上的两点(都不同于点E),且EM⊥EN,那么直线MN是否过定点?若是,请求出此定点的坐标;若不是,说明理由.然后在以下三个情形中选择一个,写出类似结论(不要求书写求解或证明过程).
情形一:双曲线
x2
a2
-
y2
b2
=1(a>0,b>0,a≠b)
及它的左顶点;
情形二:抛物线y2=2px(p>0)及它的顶点;
情形三:椭圆
x2
a2
+
y2
b2
=1(a>b>0)
及它的顶点.

查看答案和解析>>

科目:高中数学 来源: 题型:

已知a>0,b>0,a+b=1,则a+
1
a
+b+
1
b
的最小值为
5
5

查看答案和解析>>

科目:高中数学 来源:松江区二模 题型:解答题

已知双曲线C的中心在原点,D(1,0)是它的一个顶点,
d
=(1,
2
)
是它的一条渐近线的一个方向向量.
(1)求双曲线C的方程;
(2)若过点(-3,0)任意作一条直线与双曲线C交于A,B两点 (A,B都不同于点D),求证:
DA
DB
为定值;
(3)对于双曲线Γ:
x2
a2
-
y2
b2
=1(a>0,b>0,a≠b)
,E为它的右顶点,M,N为双曲线Γ上的两点(都不同于点E),且EM⊥EN,那么直线MN是否过定点?若是,请求出此定点的坐标;若不是,说明理由.然后在以下三个情形中选择一个,写出类似结论(不要求书写求解或证明过程).
情形一:双曲线
x2
a2
-
y2
b2
=1(a>0,b>0,a≠b)
及它的左顶点;
情形二:抛物线y2=2px(p>0)及它的顶点;
情形三:椭圆
x2
a2
+
y2
b2
=1(a>b>0)
及它的顶点.

查看答案和解析>>

同步练习册答案