精英家教网 > 高中数学 > 题目详情

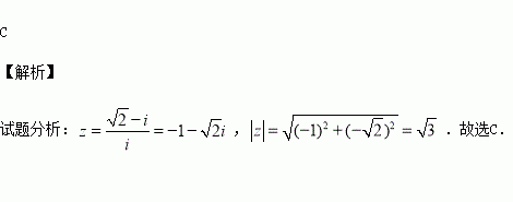
已知为虚数单位,若复数,则( )

A.1 B. C. D.2

练习册系列答案
相关习题

科目:高中数学 来源:2016届安徽省高三下学期冲刺模拟文科数学C卷(解析版) 题型:解答题

选修4-5:不等式选讲

设函数

(1)解不等式:

(2)若对一切实数均成立,求的取值范围.

查看答案和解析>>

科目:高中数学 来源:2016届安徽省高三下学期冲刺模拟理科数学C卷(解析版) 题型:选择题

内任一点,且,设的面积分别为,且,则在平面直角中坐标系中,以为坐标的点的轨迹图形是( )

A. B.

C. D.

查看答案和解析>>

科目:高中数学 来源:2016届重庆市高三下学期模拟文科数学试卷(解析版) 题型:填空题

如图,在正方体中,点是上底面内一动点,则三棱锥的正(主)视图与侧(左)视图的面积的比为_________.

查看答案和解析>>

科目:高中数学 来源:2016届重庆市高三下学期模拟文科数学试卷(解析版) 题型:选择题

设曲线在点处的切线与直线有相同的方向向量,则等于( )

A. B. C.-2 D.2

查看答案和解析>>

科目:高中数学 来源:2015-2016学年宁夏六盘山高中高二下第二次月考文数学卷(解析版) 题型:解答题

已知直线经过点,倾斜角

(1)写出直线的参数方程;

(2)设与圆相交与两点,求点两点的距离之积.

查看答案和解析>>

科目:高中数学 来源:2015-2016学年宁夏六盘山高中高二下第二次月考文数学卷(解析版) 题型:选择题

已知上为单调函数,则实数的取值范围是( )

A. B.

C. D.

查看答案和解析>>

科目:高中数学 来源:2015-2016学年宁夏六盘山高中高二下第二次月考理数学卷(解析版) 题型:解答题

解方程:

(1)

(2)

查看答案和解析>>

科目:高中数学 来源:2015-2016学年辽宁省庄河市高一下期中理科数学试卷(解析版) 题型:解答题

设向量

(1)若,求的值;

(2)设函数,求的最大值及单调递增区间.

查看答案和解析>>

同步练习册答案