练习册系列答案
相关习题
科目:高中数学
来源:2015-2016学年江西省高二5月月考文科数学试卷(解析版)
题型:填空题
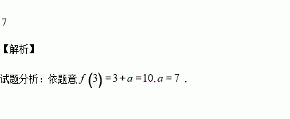
已知函数f(x)=-x3+3x2+9x+a.
(1)求f(x)的单调减区间;
(2)若f(x)在区间[-2,2]上的最大值为20,求它在该区间上的最小值.
查看答案和解析>>
科目:高中数学
来源:2016届安徽省高三下组卷二理科数学试卷(解析版)
题型:选择题
查看答案和解析>>
科目:高中数学
来源:2015-2016学年贵州遵义航天高中高二下期中文科数学试卷(解析版)
题型:选择题
查看答案和解析>>
科目:高中数学
来源:2015-2016学年贵州贵阳六中高二下期中理科数学试卷(解析版)
题型:解答题
掷3枚均匀硬币一次,求正面个数与反面个数之差
的分布列,并求其均值和方差.
查看答案和解析>>
科目:高中数学
来源:2015-2016学年贵州贵阳六中高二下期中理科数学试卷(解析版)
题型:选择题
设
,则
等于( )
A.1.6 B.3.2 C.6.4 D.12.8
查看答案和解析>>
科目:高中数学
来源:2015-2016学年贵州贵阳六中高二下期中理科数学试卷(解析版)
题型:选择题
在
中,
,则
是( )
A.直角三角形 B.锐角三角形 C.等腰三角形 D.等边三角形
查看答案和解析>>
科目:高中数学
来源:2015-2016学年贵州贵阳六中高二下期中理科数学试卷(解析版)
题型:选择题
不等式组
所表示的平面区域是( )

查看答案和解析>>
科目:高中数学
来源:2015-2016学年四川绵阳南山中学高二下期中理科数学卷(解析版)
题型:选择题
函数
的单调递增区间是( )
A.
B.(0,3) C.(1,4) D.
查看答案和解析>>