精英家教网 > 高中数学 > 题目详情

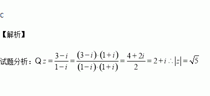
复数,则的模等于( )

A. B.2 C. D.5

练习册系列答案
相关习题

科目:高中数学 来源:2015-2016学年天津市高一下期中数学试卷(解析版) 题型:选择题

,两个等差数列的公差分别为,则等于( )

A. B. C. D.

查看答案和解析>>

科目:高中数学 来源:2015-2016学年江西省高一5月月考理科数学试卷(解析版) 题型:选择题

数列的通项公式是,前项和为9,则等于( )

A.9 B.99 C.10 D.100

查看答案和解析>>

科目:高中数学 来源:2015-2016学年福建省高二下期中理科数学试卷(解析版) 题型:填空题

在复平面上,平行四边形的三个顶点对应复数分别为,则点对应的复数为 .

查看答案和解析>>

科目:高中数学 来源:2015-2016学年福建省高二下期中理科数学试卷(解析版) 题型:选择题

函数有( )

A.极小值为 B.极大值为 C.极小值为 D.极大值为

查看答案和解析>>

科目:高中数学 来源:2015-2016学年陕西省西安市高二下期中数学试卷(解析版) 题型:解答题

给定椭圆C: (a>b>0),称圆心在原点O,半径为的圆是椭圆C的“准圆”.若椭圆C的一个焦点为F(,0),且其短轴上的一个端点到F的距离为.

(Ⅰ)求椭圆C的方程和其“准圆”方程;

(Ⅱ)点P是椭圆C的“准圆”上的一个动点,过动点P作直线l1,l2,使得l1,l2与椭圆C都只有一个交点,试判断l1,l2是否垂直,并说明理由.

查看答案和解析>>

科目:高中数学 来源:2015-2016学年陕西省西安市高二下期中数学试卷(解析版) 题型:填空题

设变量满足则变量的最小值为

查看答案和解析>>

科目:高中数学 来源:2016届陕西西北工大附中高三下第六次训练文数学卷(解析版) 题型:解答题

已知抛物线:的焦点在双曲线:的右准线上,抛物线与直线交于两点, 的延长线与抛物线交于两点.

(1)求抛物线的方程;

(2)若的面积等于

①求的值;

②求直线的斜率.

查看答案和解析>>

科目:高中数学 来源:2016届陕西西北工大附中高三下第六次训练理数学卷(解析版) 题型:选择题

我国古代数学名著《数书九章》有“米谷粒分”题:粮仓开仓收粮,有人送来米1534石,验得米内夹谷,抽样取米一把,数得254粒内夹谷28粒,则这批米内夹谷约为( )

A.134石 B.169石 C.338石 D.1365石

查看答案和解析>>

同步练习册答案