精英家教网 > 高中数学 > 题目详情

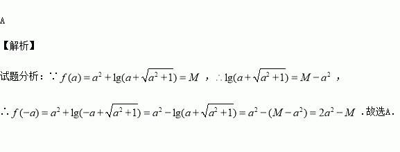
已知函数,若,则等于( )

A. B.

C. D.

练习册系列答案
相关习题

科目:高中数学 来源: 题型:选择题

15.已知集合M={0,1,2,3},N={x|x2-3x<0},则M∩N=(  )
A.{1,2}B.{x|x<0}C.{x|0<x<3}D.{0}

查看答案和解析>>

科目:高中数学 来源:2017届河北武邑中学高三上周考8.14数学(文)试卷(解析版) 题型:填空题

函数的单调减区间为

查看答案和解析>>

科目:高中数学 来源:2017届河北武邑中学高三上周考8.14数学(理)试卷(解析版) 题型:解答题

某地政府为科技兴市,欲将如图所示的一块不规则的非农业用地规划建成一个矩形的高科技工业园区.已知,曲线是以点为顶点的且开口向上的抛物线的一段,如果要使矩形的相邻两边分别落在上,且一个顶点落在曲线段上,问矩形的两边长分别为多少时使矩形工业园区的用地面积最大?

查看答案和解析>>

科目:高中数学 来源:2017届河北武邑中学高三上周考8.14数学(理)试卷(解析版) 题型:填空题

函数的值域是

查看答案和解析>>

科目:高中数学 来源:2017届河北武邑中学高三上周考8.14数学(理)试卷(解析版) 题型:选择题

设函数对任意满足,且,则等于( )

A. B.

C. D.

查看答案和解析>>

科目:高中数学 来源:2017届河北沧州一中高三上第七周周测数学试卷(解析版) 题型:解答题

已知向量,且分别为的三边所对的角.

(1)求角的大小;

(2)若成等差数列,且,求边的长.

查看答案和解析>>

科目:高中数学 来源:2017届河北沧州一中高三上第七周周测数学试卷(解析版) 题型:选择题

设向量,若向量平行,则( )

A. B.

C. D.

查看答案和解析>>

科目:高中数学 来源: 题型:选择题

20.已知i为虚数单位,复数z=a+bi(a,b∈R)的虚部b记作Im(z),则Im($\frac{1}{1+i}$)=(  )
A.-$\frac{1}{2}$B.-1C.$\frac{1}{2}$D.1

查看答案和解析>>

同步练习册答案